Throttle
Throttle
![]()
Library
HydraulicsByFluidon/Components/Resistors
Description
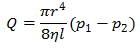
The component Throttle is a model of a fluid resistance with to a large extent linear shaped dependence of the VolumeFlow on the pressure difference pA-pB connected to the component.

It is parameterized by the geometric parameters Diameter and Length. The kinetic viscosity of the fluid and its density are considered in their temperature dependency.

The Throttle is suitable for modeling a bore, if the ratio of its length l to its diameter d is comparatively large (approx. l/d > 10). It does not take any inductance into consideration. If desired, a PipeWithoutCapacity or a Pipe is the correct component instead.
Parameters

| Name | Label | Description | Data Type | Valid Values |
|---|---|---|---|---|
mo_diameter | diameter | Diameter | Scalar | |
mo_length | length | Length | Scalar | |
mo_dp | dp | dp | Structure | |
mo_dp/fixed | fixed | Cell of scalars | true | |
mo_dp/start | start | Cell of scalars |

| Name | Label | Description | Data Type | Valid Values |
|---|---|---|---|---|
mo_forwardFluidProperties | forwardFluidProperties | Forward fluid properties between ports | Scalar | true |

| Name | Label | Description | Data Type | Valid Values |
|---|---|---|---|---|
mo__nmodifiers | Number of Modifiers | Specifies the number of modifiers | Number | |
mo__modifiers | Modifiers | Add new modifier | Structure | |
mo__modifiers/varname | Variable name | Cell of strings | 'volumeFlowA' | |
mo__modifiers/attribute | Attribute | Cell of strings | 'start' | |
mo__modifiers/value | Value |
Ports
| Name | Type | Description | IO Type | Number |
|---|---|---|---|---|
fluidPortA | implicit | Hydraulic port A | input | 1 |
fluidPortB | implicit | Hydraulic port B | input | 2 |