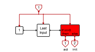
InitialEventExtract
new block definition
![]()
Library
StateMachine
Description
This block is used to separate the first event of a discrete activation signal from the rest. The first event exists the init port and is usually used for initialization of the state machine.
