金属の延性破壊の記述には、Johnson-Cook破壊モデルがよく使用されます。これは、Johnson-Cook方程式を用いて破壊ひずみを応力軸性の関数として定義します。
Johnson-Cook破壊モデルには、破壊モデルへの3つのパートがあります;
(1)
ここで、
-
- 塑性破壊ひずみ
-
- 入力参照ひずみ速度で割られた現在のひずみ速度
-
- 材料則または/HEAT/MATで計算
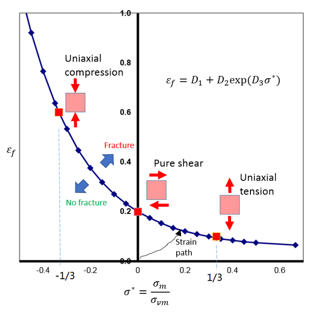
ひずみ速度と温度を無視したJohnson-Cook破壊のプロットは:

図 1. Johnson-Cook破壊モデルのプロットの例
曲線より上の塑性ひずみは材料破壊あり、曲線より下は材料破壊なしを表します。
軸性の影響のみが考慮される簡単なケースでは、破壊ひずみは:
(2)
試験からの3つの破壊データポイントを使用すると:
-
(単軸引張(
)による)
-
(純せん断(
)による)
-
(単軸圧縮(
)による)
パラメータ
、
および
は、以下の方程式を解くことによって解析学的に計算されます:
(3)
要素破壊処理
損傷累積法は、要素内にで発生した塑性ひずみの量を以下を用いて合計するために使用されます:
(4)
が要素破壊フラグ(
Ifail_shと
Ifail_so)およびXFEM定式化フラグ(
Ixfem)の値に依存して起こること。XFEM定式化が使用されていない際(
Ixfem=0)、以下の表は、異なる要素破壊フラグをまとめています。
表 1. 要素破壊オプション
| 要素 |
要素破壊フラグ |
次の場合;
|
破壊挙動 |
| シェル |
Ifail_sh=1 (デフォルト)
|
1 IPまたは層で |
削除される要素 |
| シェル |
Ifail_sh=2 |
1 IPまたは層で |
応力テンソルはIPまたは層でゼロに設定 |
| シェル |
Ifail_sh=2 |
すべてのIPまたは層で |
削除される要素 |
| ソリッド |
Ifail_sh=1 (デフォルト)
|
1 IPで |
削除される要素 |
| ソリッド |
Ifail_sh=2 |
1 IPで |
応力テンソルはIPでゼロに設定 |
| ソリッド |
Ifail_sh=2 |
すべてのIP |
応力テンソルは要素でゼロに設定 |
XFEM定式化(Ixfem=1)の詳細は、/FAIL/JOHNSONに見つかります。
損傷
は、/ANIM/SHELL/DAMAまた/ANIM/BRICK/DAMAを使ってアニメーションファイル内でプロットすることができます。これは、材料損傷のリスクを示します。