Fabric Law for Elastic Orthotropic Shells (LAW19 and LAW58)

Two elastic linear models and a nonlinear model exist in Radioss.

Fabric Linear Law for Elastic Orthotropic Shells (LAW19)

A material is orthotropic if its behavior is symmetrical with respect to two orthogonal plans. The fabric law enables to model this kind of behavior. This law is only available for shell elements and can be used to model an airbag fabric. Many of the concepts for this law are the same as for LAW14 which is appropriate for composite solids. If axes 1 and 2 represent the orthotropy directions, the constitutive matrix C MathType@MTEF@5@5@+= feaagKart1ev2aaatCvAUfeBSjuyZL2yd9gzLbvyNv2CaerbuLwBLn hiov2DGi1BTfMBaeXatLxBI9gBaerbd9wDYLwzYbItLDharqqtubsr 4rNCHbGeaGqiVu0Je9sqqrpepC0xbbL8F4rqqrFfpeea0xe9Lq=Jc9 vqaqpepm0xbba9pwe9Q8fs0=yqaqpepae9pg0FirpepeKkFr0xfr=x fr=xb9adbaqaaeGaciGaaiaabeqaamaabaabaaGcbaGaam4qaaaa@36BE@ is defined in terms of material properties:(1)
C 1 = [ 1 E 11 υ 21 E 22 0 0 0 υ 12 E 11 1 E 22 0 0 0 0 0 1 G 12 0 0 0 0 0 1 G 23 0 0 0 0 0 1 G 31 ] MathType@MTEF@5@5@+= feaagKart1ev2aaatCvAUfeBSjuyZL2yd9gzLbvyNv2CaerbuLwBLn hiov2DGi1BTfMBaeXatLxBI9gBaerbd9wDYLwzYbItLDharqqtubsr 4rNCHbGeaGqiVu0Je9sqqrpepC0xbbL8F4rqqrFfpeea0xe9Lq=Jc9 vqaqpepm0xbba9pwe9Q8fs0=yqaqpepae9pg0FirpepeKkFr0xfr=x fr=xb9adbaqaaeGaciGaaiaabeqaamaabaabaaGcbaGaam4qamaaCa aaleqabaGaeyOeI0IaaGymaaaakiabg2da9maadmaabaqbaeqabuqb aaaaaeaadaWcaaqaaiaaigdaaeaacaWGfbWaaSbaaSqaaiaaigdaca aIXaaabeaaaaaakeaacqGHsisldaWcaaqaaiabew8a1naaBaaaleaa caaIYaGaaGymaaqabaaakeaacaWGfbWaaSbaaSqaaiaaikdacaaIYa aabeaaaaaakeaacaaIWaaabaGaaGimaaqaaiaaicdaaeaacqGHsisl daWcaaqaaiabew8a1naaBaaaleaacaaIXaGaaGOmaaqabaaakeaaca WGfbWaaSbaaSqaaiaaigdacaaIXaaabeaaaaaakeaadaWcaaqaaiaa igdaaeaacaWGfbWaaSbaaSqaaiaaikdacaaIYaaabeaaaaaakeaaca aIWaaabaGaaGimaaqaaiaaicdaaeaacaaIWaaabaGaaGimaaqaamaa laaabaGaaGymaaqaaiaadEeadaWgaaWcbaGaaGymaiaaikdaaeqaaa aaaOqaaiaaicdaaeaacaaIWaaabaGaaGimaaqaaiaaicdaaeaacaaI WaaabaWaaSaaaeaacaaIXaaabaGaam4ramaaBaaaleaacaaIYaGaaG 4maaqabaaaaaGcbaGaaGimaaqaaiaaicdaaeaacaaIWaaabaGaaGim aaqaaiaaicdaaeaadaWcaaqaaiaaigdaaeaacaWGhbWaaSbaaSqaai aaiodacaaIXaaabeaaaaaaaaGccaGLBbGaayzxaaaaaa@66F7@
where the subscripts denote the orthotropy axes. As the matrix C MathType@MTEF@5@5@+= feaagKart1ev2aaatCvAUfeBSjuyZL2yd9gzLbvyNv2CaerbuLwBLn hiov2DGi1BTfMBaeXatLxBI9gBaerbd9wDYLwzYbItLDharqqtubsr 4rNCHbGeaGqiVu0Je9sqqrpepC0xbbL8F4rqqrFfpeea0xe9Lq=Jc9 vqaqpepm0xbba9pwe9Q8fs0=yqaqpepae9pg0FirpepeKkFr0xfr=x fr=xb9adbaqaaeGaciGaaiaabeqaamaabaabaaGcbaGaam4qaaaa@36BE@ is symmetric:(2)
υ 12 E 11 = υ 21 E 22
Therefore, six independent material properties are the input of the material:
E 11 MathType@MTEF@5@5@+= feaagKart1ev2aaatCvAUfeBSjuyZL2yd9gzLbvyNv2CaerbuLwBLn hiov2DGi1BTfMBaeXatLxBI9gBaerbd9wDYLwzYbItLDharqqtubsr 4rNCHbGeaGqiVu0Je9sqqrpepC0xbbL8F4rqqrFfpeea0xe9Lq=Jc9 vqaqpepm0xbba9pwe9Q8fs0=yqaqpepae9pg0FirpepeKkFr0xfr=x fr=xb9adbaqaaeGaciGaaiaabeqaamaabaabaaGcbaGaamyramaaBa aaleaacaaIXaGaaGymaaqabaaaaa@3862@
Young's modulus in direction 1
E 22 MathType@MTEF@5@5@+= feaagKart1ev2aaatCvAUfeBSjuyZL2yd9gzLbvyNv2CaerbuLwBLn hiov2DGi1BTfMBaeXatLxBI9gBaerbd9wDYLwzYbItLDharqqtubsr 4rNCHbGeaGqiVu0Je9sqqrpepC0xbbL8F4rqqrFfpeea0xe9Lq=Jc9 vqaqpepm0xbba9pwe9Q8fs0=yqaqpepae9pg0FirpepeKkFr0xfr=x fr=xb9adbaqaaeGaciGaaiaabeqaamaabaabaaGcbaGaamyramaaBa aaleaacaaIXaGaaGymaaqabaaaaa@3862@
Young's modulus in direction 2
υ 12
Poisson's ratio
G 12 MathType@MTEF@5@5@+= feaagKart1ev2aaatCvAUfeBSjuyZL2yd9gzLbvyNv2CaerbuLwBLn hiov2DGi1BTfMBaeXatLxBI9gBaerbd9wDYLwzYbItLDharqqtubsr 4rNCHbGeaGqiVu0Je9sqqrpepC0xbbL8F4rqqrFfpeea0xe9Lq=Jc9 vqaqpepm0xbba9pwe9Q8fs0=yqaqpepae9pg0FirpepeKkFr0xfr=x fr=xb9adbaqaaeGaciGaaiaabeqaamaabaabaaGcbaGaamyramaaBa aaleaacaaIXaGaaGymaaqabaaaaa@3862@ , G 23 MathType@MTEF@5@5@+= feaagKart1ev2aaatCvAUfeBSjuyZL2yd9gzLbvyNv2CaerbuLwBLn hiov2DGi1BTfMBaeXatLxBI9gBaerbd9wDYLwzYbItLDharqqtubsr 4rNCHbGeaGqiVu0Je9sqqrpepC0xbbL8F4rqqrFfpeea0xe9Lq=Jc9 vqaqpepm0xbba9pwe9Q8fs0=yqaqpepae9pg0FirpepeKkFr0xfr=x fr=xb9adbaqaaeGaciGaaiaabeqaamaabaabaaGcbaGaamyramaaBa aaleaacaaIXaGaaGymaaqabaaaaa@3862@ , G 31 MathType@MTEF@5@5@+= feaagKart1ev2aaatCvAUfeBSjuyZL2yd9gzLbvyNv2CaerbuLwBLn hiov2DGi1BTfMBaeXatLxBI9gBaerbd9wDYLwzYbItLDharqqtubsr 4rNCHbGeaGqiVu0Je9sqqrpepC0xbbL8F4rqqrFfpeea0xe9Lq=Jc9 vqaqpepm0xbba9pwe9Q8fs0=yqaqpepae9pg0FirpepeKkFr0xfr=x fr=xb9adbaqaaeGaciGaaiaabeqaamaabaabaaGcbaGaamyramaaBa aaleaacaaIXaGaaGymaaqabaaaaa@3862@
Shear moduli for each direction

The coordinates of a global vector V is used to define direction 1 of the local coordinate system of orthotropy.

The angle Φ MathType@MTEF@5@5@+= feaagKart1ev2aaatCvAUfeBSjuyZL2yd9gzLbvyNv2CaerbuLwBLn hiov2DGi1BTfMBaeXatLxBI9gBaerbd9wDYLwzYbItLDharqqtubsr 4rNCHbGeaGqiVu0Je9sqqrpepC0xbbL8F4rqqrFfpeea0xe9Lq=Jc9 vqaqpepm0xbba9pwe9Q8fs0=yqaqpepae9pg0FirpepeKkFr0xfr=x fr=xb9adbaqaaeGaciGaaiaabeqaamaabaabaaGcbaGaaeOPdaaa@3722@ is the angle between the local direction 1 (fiber direction) and the projection of the global vector V as shown in 図 1.


図 1. Fiber Direction Orientation
The shell normal defines the positive direction for Φ MathType@MTEF@5@5@+= feaagKart1ev2aaatCvAUfeBSjuyZL2yd9gzLbvyNv2CaerbuLwBLn hiov2DGi1BTfMBaeXatLxBI9gBaerbd9wDYLwzYbItLDharqqtubsr 4rNCHbGeaGqiVu0Je9sqqrpepC0xbbL8F4rqqrFfpeea0xe9Lq=Jc9 vqaqpepm0xbba9pwe9Q8fs0=yqaqpepae9pg0FirpepeKkFr0xfr=x fr=xb9adbaqaaeGaciGaaiaabeqaamaabaabaaGcbaGaaeOPdaaa@3722@ . Since fabrics have different compression and tension behavior, an elastic modulus reduction factor, RE, is defined that changes the elastic properties of compression. The formulation for the fabric law has a σ 11 reduction if σ 11 < 0 as shown in 図 2.


図 2. Elastic Compression Modulus Reduction

Fabric Nonlinear Law for Elastic Anisotropic Shells (LAW58)

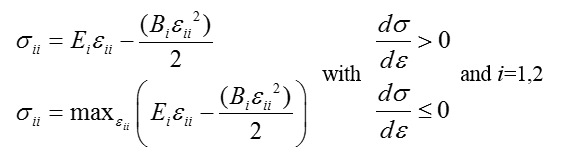
This law is used with Radioss standard shell elements and anisotropic layered property (TYPE16). The fiber directions (warp and weft) define the local axes of anisotropy. Material characteristics are determined independently in these axes. Fibers are nonlinear elastic and follow the equation:(3)
The shear in fabric material is only supposed to be function of the angle between current fiber directions (axes of anisotropy):(4)
τ= G 0 tan(α) τ 0 ifα α T τ=Gtan(α)+ G A τ 0 ifα> α T

and

G A = ( G 0 G ) tan ( α T ) , G = G T 1 + tan 2 ( α T ) with τ 0 = G 0 tan ( α 0 )

Where, α T is a shear lock angle, G T MathType@MTEF@5@5@+= feaagKart1ev2aaatCvAUfeBSjuyZL2yd9gzLbvyNv2CaerbwvMCKf MBHbqefqvATv2CG4uz3bIuV1wyUbqedmvETj2BSbqefm0B1jxALjhi ov2DaebbnrfifHhDYfgasaacH8srps0lbbf9q8WrFfeuY=Hhbbf9v8 qqaqFr0xc9pk0xbba9q8WqFfea0=yr0RYxir=Jbba9q8aq0=yq=He9 q8qqQ8frFve9Fve9Ff0dmeaacaGacmGadaWaaiqacaabaiaafaaake aacaWGhbWaaSbaaSqaaiaadsfaaeqaaaaa@3AA8@ is a tangent shear modulus at α T , and G 0 MathType@MTEF@5@5@+= feaagKart1ev2aaatCvAUfeBSjuyZL2yd9gzLbvyNv2CaerbwvMCKf MBHbqefqvATv2CG4uz3bIuV1wyUbqedmvETj2BSbqefm0B1jxALjhi ov2DaebbnrfifHhDYfgasaacH8srps0lbbf9q8WrFfeuY=Hhbbf9v8 qqaqFr0xc9pk0xbba9q8WqFfea0=yr0RYxir=Jbba9q8aq0=yq=He9 q8qqQ8frFve9Fve9Ff0dmeaacaGacmGadaWaaiqacaabaiaafaaake aacaWGhbWaaSbaaSqaaiaaicdaaeqaaaaa@3A89@ is a shear modulus at α = 0. If G 0 MathType@MTEF@5@5@+= feaagKart1ev2aaatCvAUfeBSjuyZL2yd9gzLbvyNv2CaerbwvMCKf MBHbqefqvATv2CG4uz3bIuV1wyUbqedmvETj2BSbqefm0B1jxALjhi ov2DaebbnrfifHhDYfgasaacH8srps0lbbf9q8WrFfeuY=Hhbbf9v8 qqaqFr0xc9pk0xbba9q8WqFfea0=yr0RYxir=Jbba9q8aq0=yq=He9 q8qqQ8frFve9Fve9Ff0dmeaacaGacmGadaWaaiqacaabaiaafaaake aacaWGhbWaaSbaaSqaaiaaicdaaeqaaaaa@3A89@ = 0, the default value is calculated to avoid shear modulus discontinuity at α T : G 0 MathType@MTEF@5@5@+= feaagKart1ev2aaatCvAUfeBSjuyZL2yd9gzLbvyNv2CaerbwvMCKf MBHbqefqvATv2CG4uz3bIuV1wyUbqedmvETj2BSbqefm0B1jxALjhi ov2DaebbnrfifHhDYfgasaacH8srps0lbbf9q8WrFfeuY=Hhbbf9v8 qqaqFr0xc9pk0xbba9q8WqFfea0=yr0RYxir=Jbba9q8aq0=yq=He9 q8qqQ8frFve9Fve9Ff0dmeaacaGacmGadaWaaiqacaabaiaafaaake aacaWGhbWaaSbaaSqaaiaaicdaaeqaaaaa@3A89@ = G MathType@MTEF@5@5@+= feaagKart1ev2aaatCvAUfeBSjuyZL2yd9gzLbvyNv2CaerbwvMCKf MBHbqefqvATv2CG4uz3bIuV1wyUbqedmvETj2BSbqefm0B1jxALjhi ov2DaebbnrfifHhDYfgasaacH8srps0lbbf9q8WrFfeuY=Hhbbf9v8 qqaqFr0xc9pk0xbba9q8WqFfea0=yr0RYxir=Jbba9q8aq0=yq=He9 q8qqQ8frFve9Fve9Ff0dmeaacaGacmGadaWaaiqacaabaiaafaaake aacaWGhbaaaa@39A3@ .


図 3. Elastic Compression Modulus Reduction

α 0 is an initial angle between fibers defined in the shell property (TYPE16).

The warp and weft fiber are coupled in tension and uncoupled in compression. But there is no discontinuity between tension and compression. In compression only fiber bending generates global stresses. 図 4 illustrates the mechanical behavior of the structure.


図 4. Local Frame Definition
A local micro model describes the material behavior (図 5). This model represents just ¼ of a warp fiber wave length and ¼ of the weft one. Each fiber is described as a nonlinear beam and the two fibers are connected with a contacting spring. These local nonlinear equations are solved with Newton iterations at membrane integration point.


図 5. Local Frame Definition