Mechanical Properties

Shell elements behave in two ways, either membrane or bending behavior. The Mindlin plate elements that are used by Radioss account for bending and transverse shear deformation. Hence, they can be used to model thick and thin plates.

Membrane Behavior

The membrane strain rates for Mindlin plate elements are defined as:(1)
e ˙ x x = v x x
(2)
e ˙ y y = v y y
(3)
e ˙ x y = 1 2 ( v x y + v y x )
(4)
e ˙ x z = 1 2 ( v x z + v z x ) = 1 2 ( ω y + v z x )
(5)
e ˙ y z = 1 2 ( v y z + v z y ) = 1 2 ( ω x + v z y )
Where,
e ˙ i j
Membrane strain rate

Bending Behavior

The bending behavior in plate elements is described using the amount of curvature. The curvature rates of the Mindlin plate elements are defined as:(6)
χ ˙ x = ω y x
(7)
χ ˙ y = ω x y
(8)
χ ˙ xy = 1 2 ( ω y y ω x x )
Where,
χ ˙ i j
Curvature rate

Strain Rate Calculation

The calculation of the strain rate of an individual element is divided into two parts, membrane and bending strain rates.
Membrane Strain Rate
The vector defining the membrane strain rate is:(9)
{ e ˙ } m = { e ˙ x e ˙ y 2 e ˙ x y }
This vector is computed from the velocity field vector { v } m and the shape function gradient { B } m :(10)
{ e ˙ } m = { B } m { v } m
Where,(11)
{ v } m = { v x 1 v y 1 v x 2 v y 2 v x 3 v y 3 v x 4 v y 4 }
(12)
[ B ] m = [ Φ 1 x 0 Φ 2 x 0 Φ 3 x 0 Φ 4 x 0 0 Φ 1 y 0 Φ 2 y 0 Φ 3 y 0 Φ 4 y Φ 1 y Φ 1 x Φ 2 y Φ 2 x Φ 3 y Φ 3 x Φ 4 y Φ 4 x ]
Bending Strain Rate
The vector defining the bending strain rate is:(13)
{ e ˙ } b = { χ ˙ x χ ˙ y 2 χ ˙ x y 2 e ˙ z x 2 e ˙ y z }
As with the membrane strain rate, the bending strain rate is computed from the velocity field vector. However, the velocity field vector for the bending strain rate contains rotational velocities, as well as translations:(14)
{ e ˙ } b = { B } b { v } b
Where,(15)
{ v } b = { ω y 1 , ω x 1 , ω y 2 , ω x 2 , ω y 3 , ω x 3 , ω y 4 , ω x 4 , v z 1 , v z 2 , v z 3 , v z 4 }
(16)
[ B ] b = [ Φ 1 x 0 Φ 2 x 0 Φ 3 x 0 Φ 4 x 0 0 0 0 0 0 Φ 1 y 0 Φ 2 y 0 Φ 3 y 0 Φ 4 y 0 0 0 0 Φ 1 y Φ 1 x Φ 2 y Φ 2 x Φ 3 y Φ 3 x Φ 4 y Φ 4 x 0 0 0 0 Φ 1 0 Φ 2 0 Φ 3 0 Φ 4 0 Φ 1 x Φ 2 x Φ 3 x Φ 4 x 0 Φ 1 0 Φ 2 0 Φ 3 0 Φ 4 Φ 1 y Φ 2 y Φ 3 y Φ 4 y ]




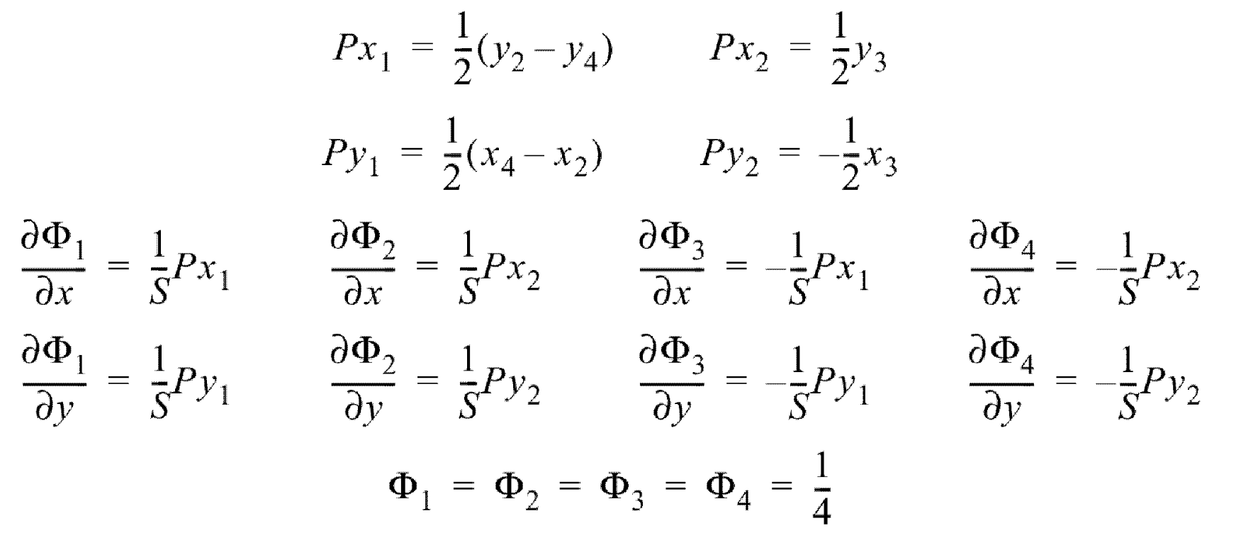
Figure 1. Strain Rate Calculation

Mass and Inertia

Consider a rectangular plate with sides of length a MathType@MTEF@5@5@+= feaagKart1ev2aaatCvAUfeBSjuyZL2yd9gzLbvyNv2CaerbuLwBLn hiov2DGi1BTfMBaeXatLxBI9gBaerbd9wDYLwzYbItLDharqqtubsr 4rNCHbGeaGqiVu0Je9sqqrpepC0xbbL8F4rqqrFfpeea0xe9Lq=Jc9 vqaqpepm0xbba9pwe9Q8fs0=yqaqpepae9pg0FirpepeKkFr0xfr=x fr=xb9adbaqaaeGaciGaaiaabeqaamaabaabaaGcbaGaamyyaaaa@36DC@ and b MathType@MTEF@5@5@+= feaagKart1ev2aaatCvAUfeBSjuyZL2yd9gzLbvyNv2CaerbuLwBLn hiov2DGi1BTfMBaeXatLxBI9gBaerbd9wDYLwzYbItLDharqqtubsr 4rNCHbGeaGqiVu0Je9sqqrpepC0xbbL8F4rqqrFfpeea0xe9Lq=Jc9 vqaqpepm0xbba9pwe9Q8fs0=yqaqpepae9pg0FirpepeKkFr0xfr=x fr=xb9adbaqaaeGaciGaaiaabeqaamaabaabaaGcbaGaamyyaaaa@36DC@ , surface area A = a b MathType@MTEF@5@5@+= feaagKart1ev2aaatCvAUfeBSjuyZL2yd9gzLbvyNv2CaerbwvMCKf MBHbqefqvATv2CG4uz3bIuV1wyUbqedmvETj2BSbqefm0B1jxALjhi ov2DaebbnrfifHhDYfgasaacH8srps0lbbf9q8WrFfeuY=Hhbbf9v8 qqaqFr0xc9pk0xbba9q8WqFfea0=yr0RYxir=Jbba9q8aq0=yq=He9 q8qqQ8frFve9Fve9Ff0dmeaacaGacmGadaWaaiqacaabaiaafaaake aacaWGbbGaeyypa0Jaamyyaiaadkgaaaa@3C70@ and thickness t MathType@MTEF@5@5@+= feaagKart1ev2aaatCvAUfeBSjuyZL2yd9gzLbvyNv2CaerbwvMCKf MBHbqefqvATv2CG4uz3bIuV1wyUbqedmvETj2BSbqefm0B1jxALjhi ov2DaebbnrfifHhDYfgasaacH8srps0lbbf9q8WrFfeuY=Hhbbf9v8 qqaqFr0xc9pk0xbba9q8WqFfea0=yr0RYxir=Jbba9q8aq0=yq=He9 q8qqQ8frFve9Fve9Ff0dmeaacaGacmGadaWaaiqacaabaiaafaaake aacaWG0baaaa@39D0@ , as shown in Figure 2.


Figure 2. Mass distribution
Due to the lumped mass formulation used by Radioss, the lumped mass at a particular node is:(17)
m = 1 4 ρ A t
The mass moments of inertia, with respect to local element reference frame, are calculated at node i MathType@MTEF@5@5@+= feaagKart1ev2aaatCvAUfeBSjuyZL2yd9gzLbvyNv2CaerbwvMCKf MBHbqefqvATv2CG4uz3bIuV1wyUbqedmvETj2BSbqefm0B1jxALjhi ov2DaebbnrfifHhDYfgasaacH8srps0lbbf9q8WrFfeuY=Hhbbf9v8 qqaqFr0xc9pk0xbba9q8WqFfea0=yr0RYxir=Jbba9q8aq0=yq=He9 q8qqQ8frFve9Fve9Ff0dmeaacaGacmGadaWaaiqacaabaiaafaaake aacaWG0baaaa@39D0@ by:(18)
I x x = m ( b 2 + t 2 12 )
(19)
I y y = m ( a 2 + t 2 12 )
(20)
I z z = m ( a 2 + b 2 12 )
(21)
I x y = m a b 16

Inertia Stability

With the exact formula for inertia (Equation 18 to Equation 21), the solution tends to diverge for large rotation rates. Belytschko proposed a way to stabilize the solution by setting I x x = I y y , that is, to consider the rectangle as a square with respect to the inertia calculation only. This introduces an error into the formulation. However, if the aspect ratio is small the error will be minimal. In Radioss a better stabilization is obtained by:(22)
I x x = m ( A f + t 2 12 )
(23)
I z z = I y y = I x x
(24)
I x y = 0

Where, f is a regulator factor with default value f =12 for QBAT element and f =9 for other quadrilateral elements.