Inbuilt Material Properties

Fluid Properties

Flow Simulator uses a separate routine to calculate fluid properties. The fluid properties are determined by a perfect gas assumption (properties as a function of temperature only) or interpolation of real gas data. Consider the following mixing conditions:
  • Air as a perfect gas
  • Mixture of air as a perfect gas and steam
  • Mixture of air as a perfect gas and real gas
  • Mixture of two real gases
When using air as a perfect gas, the properties are returned as a function of the absolute temperature. When using steam or real gas, the properties are returned as a function of absolute temperature, pressure, and the secondary fluid mass fractions. The following fluid properties are returned:
γ
Specific heat ratio.
Cp
Specific heat at constant pressure.
R
Gas constant.
K
Thermal conductivity.
μ
Viscosity.
Pr
Prandtl number.
Nomenclature
T
Fluid temperature.
Ru
Universal gas constant.
X
Secondary fluid mass fraction in pounds of second fluid per pound of mixture.
MW1
Molecular weight of fluid 1.
MW2
Molecular weight of fluid 2.

Air Properties

Ideal Gas Assumption

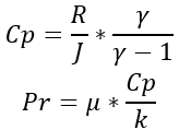
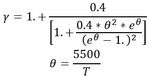
If air is assumed to behave as an ideal gas, its properties are determined by functions dependent on temperature only. The specific heat ratio, taken from NACA 1135, equation 180, is given as:(1)
Thermal conductivity and viscosity are assumed to follow Sutherland’s Law. The following equations, taken from White, are used:(2)
Using a value of 28.96451 for the molecular weight of air, the gas constant becomes:(3)
The specific heat and Prandtl number for air are then calculated from the above using the equations:(4)

The range of validity of these air properties is –300 F to 3500 F.

Steam Properties

The steam properties were derived from ASME steam tables. The thermodynamic properties cover the range where the fluid is a vapor for temperatures between 100 ℉ and 1500 ℉ and pressures between 1.0 psia and 1500 psia. Specific heat ratio and the inverse of specific heat at constant pressure are contained in table form in the program, and linear interpolation by temperature and pressure is used to extract values. The transport properties k and μ are functions of temperature only and are calculated using the equations:


Figure 1.

The saturation temperature of steam is contained in tabular form and is checked to ensure that chamber temperature remains in the superheated range in all chambers. The solution is stopped if this error occurs. A warning is displayed and/or printed if the temperature in a chamber gets within 50 ℉ of saturation.

Properties of Mixed Air, Steam, and Real Gases

In Flow Simulator, you can analyze systems with mixtures of steam, air, and real gases (for example, methane and carbon dioxide). The system used to do this is approximate because ideal gas assumptions employ Cp rather than enthalpy for the calculation of the temperature of mixing streams of different fluids.

The mass weighted mixing model is always used for the thermodynamic properties of specific heat at constant pressure. The partial pressure of the fluid is used to obtain properties for steam and real gas. Ideal air properties are not a function of pressure. The mass weighted mixing equations, presented here for specific heat, entropy, enthalpy, and density, are as follows:
Figure 2.
The molecular weight and gas constant of the mixture are calculated using:
Figure 3.
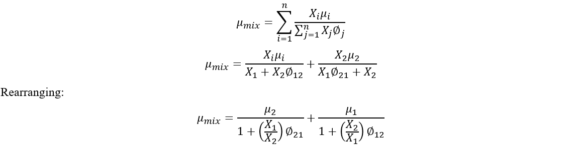
The viscosity and conductivity of the mixture are calculated using molecular mixing models. For the molecular mixing model, the mole fraction of the second fluid, X2, is calculated from the second fluid mass fraction as:
Figure 4.

Specific equations for the transport properties were obtained from reference [6].

Viscosity for the air-steam mixtures (and viscosity and thermal conductivity for mixtures with real gas) are calculated using the Chapman-Enskog Kinetic Theory from the equation:


Figure 5.


Figure 6.


Figure 7.

All temperatures are in absolute units.

The Prandtl number and the specific heat ratio for the mixture are computed using the mixed properties:


Figure 8.

Incompressible Liquid Properties

In Flow Simulator, you can model incompressible liquids. Flow Simulator supports seven liquids:
  • Water
  • Jet A
  • Mil PRF 23699 oil
  • Mil 7808 oil
  • VG-32 oil
  • Ethylene glycol - water solution
  • Propylene glycol - water solution
Note: In the fluid property calculation equations below, TS,F are in Fahrenheit.

Jet A

C p = 0.162798639 + T s *   0.000576067 MathType@MTEF@5@5@+= feaahqart1ev3aqatCvAUfeBSjuyZL2yd9gzLbvyNv2CaerbuLwBLn hiov2DGi1BTfMBaeXatLxBI9gBaerbd9wDYLwzYbItLDharqqtubsr 4rNCHbGeaGqiVu0Je9sqqrpepC0xbbL8F4rqqrFfpeea0xe9Lq=Jc9 vqaqpepm0xbba9pwe9Q8fs0=yqaqpepae9pg0FirpepeKkFr0xfr=x fr=xb9adbaqaaeGaciGaaiaabeqaamaabaabaaGcbaaeaaaaaaaaa8 qacaWGdbGaamiCaiabg2da9iaaicdacaGGUaGaaGymaiaaiAdacaaI YaGaaG4naiaaiMdacaaI4aGaaGOnaiaaiodacaaI5aGaey4kaSIaam iva8aadaWgaaWcbaWdbiaadohaa8aabeaak8qacaGGQaGaaiiOaiaa icdacaGGUaGaaGimaiaaicdacaaIWaGaaGynaiaaiEdacaaI2aGaaG imaiaaiAdacaaI3aaaaa@4E0E@

k=0.101627999 T s *5.58261* 10 5 MathType@MTEF@5@5@+= feaahqart1ev3aqatCvAUfeBSjuyZL2yd9gzLbvyNv2CaerbuLwBLn hiov2DGi1BTfMBaeXatLxBI9gBaerbd9wDYLwzYbItLDharqqtubsr 4rNCHbGeaGqiVu0Je9sqqrpepC0xbbL8F4rqqrFfpeea0xe9Lq=Jc9 vqaqpepm0xbba9pwe9Q8fs0=yqaqpepae9pg0FirpepeKkFr0xfr=x fr=xb9adbaqaaeGaciGaaiaabeqaamaabaabaaGcbaaeaaaaaaaaa8 qacaWGRbGaeyypa0JaaGimaiaac6cacaaIXaGaaGimaiaaigdacaaI 2aGaaGOmaiaaiEdacaaI5aGaaGyoaiaaiMdacqGHsislcaWGubWdam aaBaaaleaapeGaam4CaaWdaeqaaOWdbiaacQcacaaI1aGaaiOlaiaa iwdacaaI4aGaaGOmaiaaiAdacaaIXaGaaiOkaiaaigdacaaIWaWdam aaCaaaleqabaWdbiabgkHiTiaaiwdaaaaaaa@4D50@

μ=0.038750078* 10 10 4.0265* log 10 T s 1.8 +9.5660 0.7 *ρ MathType@MTEF@5@5@+= feaahqart1ev3aqatCvAUfeBSjuyZL2yd9gzLbvyNv2CaerbuLwBLn hiov2DGi1BTfMBaeXatLxBI9gBaerbd9wDYLwzYbItLDharqqtubsr 4rNCHbGeaGqiVu0Je9sqqrpepC0xbbL8F4rqqrFfpeea0xe9Lq=Jc9 vqaqpepm0xbba9pwe9Q8fs0=yqaqpepae9pg0FirpepeKkFr0xfr=x fr=xb9adbaqaaeGaciGaaiaabeqaamaabaabaaGcbaaeaaaaaaaaa8 qacqaH8oqBcqGH9aqpcaaIWaGaaiOlaiaaicdacaaIZaGaaGioaiaa iEdacaaI1aGaaGimaiaaicdacaaI3aGaaGioaiaacQcadaqadaWdae aapeGaaGymaiaaicdapaWaaWbaaSqabeaapeGaaGymaiaaicdapaWa aWbaaWqabeaapeGaeyOeI0IaaGinaiaac6cacaaIWaGaaGOmaiaaiA dacaaI1aGaaiOkaiGacYgacaGGVbGaai4za8aadaWgaaqaa8qacaaI XaGaaGimaaWdaeqaa8qadaqadaWdaeaapeWaaSGaa8aabaWdbiaads fapaWaaSbaaeaapeGaam4CaaWdaeqaaaqaa8qacaaIXaGaaiOlaiaa iIdaaaaacaGLOaGaayzkaaGaey4kaSIaaGyoaiaac6cacaaI1aGaaG OnaiaaiAdacaaIWaaaaaaakiabgkHiTiaaicdacaGGUaGaaG4naaGa ayjkaiaawMcaaiaacQcacqaHbpGCaaa@6283@

ρ =   65.00814877 T s * 0.028173705 MathType@MTEF@5@5@+= feaahqart1ev3aqatCvAUfeBSjuyZL2yd9gzLbvyNv2CaerbuLwBLn hiov2DGi1BTfMBaeXatLxBI9gBaerbd9wDYLwzYbItLDharqqtubsr 4rNCHbGeaGqiVu0Je9sqqrpepC0xbbL8F4rqqrFfpeea0xe9Lq=Jc9 vqaqpepm0xbba9pwe9Q8fs0=yqaqpepae9pg0FirpepeKkFr0xfr=x fr=xb9adbaqaaeGaciGaaiaabeqaamaabaabaaGcbaaeaaaaaaaaa8 qacqaHbpGCcqGH9aqpcaGGGcGaaGOnaiaaiwdacaGGUaGaaGimaiaa icdacaaI4aGaaGymaiaaisdacaaI4aGaaG4naiaaiEdacqGHsislca WGubWdamaaBaaaleaapeGaam4CaaWdaeqaaOWdbiaacQcacaaIWaGa aiOlaiaaicdacaaIYaGaaGioaiaaigdacaaI3aGaaG4maiaaiEdaca aIWaGaaGynaaaa@4E19@


Figure 9.

MIL PRF 23699 Oil

Cp=0.38675+ T s * 0.0006155 T s 2 *4.25* 10 7 MathType@MTEF@5@5@+= feaahqart1ev3aqatCvAUfeBSjuyZL2yd9gzLbvyNv2CaerbuLwBLn hiov2DGi1BTfMBaeXatLxBI9gBaerbd9wDYLwzYbItLDharqqtubsr 4rNCHbGeaGqiVu0Je9sqqrpepC0xbbL8F4rqqrFfpeea0xe9Lq=Jc9 vqaqpepm0xbba9pwe9Q8fs0=yqaqpepae9pg0FirpepeKkFr0xfr=x fr=xb9adbaqaaeGaciGaaiaabeqaamaabaabaaGcbaaeaaaaaaaaa8 qacaWGdbGaamiCaiabg2da9iaaicdacaGGUaGaaG4maiaaiIdacaaI 2aGaaG4naiaaiwdacqGHRaWkcaWGubWdamaaBaaaleaapeGaam4Caa WdaeqaaOWdbiaacQcacaGGGcGaaGimaiaac6cacaaIWaGaaGimaiaa icdacaaI2aGaaGymaiaaiwdacaaI1aGaeyOeI0Iaamiva8aadaqhaa WcbaWdbiaadohaa8aabaWdbiaaikdaaaGccaGGQaGaeyOeI0IaaGin aiaac6cacaaIYaGaaGynaiaacQcacaaIXaGaaGima8aadaahaaWcbe qaa8qacqGHsislcaaI3aaaaaaa@5620@

k=0.080333333 T s *3.333333333* 10 5 MathType@MTEF@5@5@+= feaahqart1ev3aqatCvAUfeBSjuyZL2yd9gzLbvyNv2CaerbuLwBLn hiov2DGi1BTfMBaeXatLxBI9gBaerbd9wDYLwzYbItLDharqqtubsr 4rNCHbGeaGqiVu0Je9sqqrpepC0xbbL8F4rqqrFfpeea0xe9Lq=Jc9 vqaqpepm0xbba9pwe9Q8fs0=yqaqpepae9pg0FirpepeKkFr0xfr=x fr=xb9adbaqaaeGaciGaaiaabeqaamaabaabaaGcbaaeaaaaaaaaa8 qacaWGRbGaeyypa0JaaGimaiaac6cacaaIWaGaaGioaiaaicdacaaI ZaGaaG4maiaaiodacaaIZaGaaG4maiaaiodacqGHsislcaWGubWdam aaBaaaleaapeGaam4CaaWdaeqaaOWdbiaacQcacaaIZaGaaiOlaiaa iodacaaIZaGaaG4maiaaiodacaaIZaGaaG4maiaaiodacaaIZaGaaG 4maiaacQcacaaIXaGaaGima8aadaahaaWcbeqaa8qacqGHsislcaaI 1aaaaaaa@5029@

μ=0.038750078* 10 10 3.454450232* log 10 T s 1.8 +8.785414669 1.153263695 *ρ MathType@MTEF@5@5@+= feaahqart1ev3aqatCvAUfeBSjuyZL2yd9gzLbvyNv2CaerbuLwBLn hiov2DGi1BTfMBaeXatLxBI9gBaerbd9wDYLwzYbItLDharqqtubsr 4rNCHbGeaGqiVu0Je9sqqrpepC0xbbL8F4rqqrFfpeea0xe9Lq=Jc9 vqaqpepm0xbba9pwe9Q8fs0=yqaqpepae9pg0FirpepeKkFr0xfr=x fr=xb9adbaqaaeGaciGaaiaabeqaamaabaabaaGcbaaeaaaaaaaaa8 qacqaH8oqBcqGH9aqpcaaIWaGaaiOlaiaaicdacaaIZaGaaGioaiaa iEdacaaI1aGaaGimaiaaicdacaaI3aGaaGioaiaacQcadaqadaWdae aapeGaaGymaiaaicdapaWaaWbaaSqabeaapeGaaGymaiaaicdapaWa aWbaaWqabeaapeGaeyOeI0IaaG4maiaac6cacaaI0aGaaGynaiaais dacaaI0aGaaGynaiaaicdacaaIYaGaaG4maiaaikdacaGGQaGaciiB aiaac+gacaGGNbWdamaaBaaabaWdbiaaigdacaaIWaaapaqabaWdbm aabmaapaqaa8qadaWccaWdaeaapeGaamiva8aadaWgaaqaa8qacaWG ZbaapaqabaaabaWdbiaaigdacaGGUaGaaGioaaaaaiaawIcacaGLPa aacqGHRaWkcaaI4aGaaiOlaiaaiEdacaaI4aGaaGynaiaaisdacaaI XaGaaGinaiaaiAdacaaI2aGaaGyoaaaaaaGccqGHsislcaaIXaGaai OlaiaaigdacaaI1aGaaG4maiaaikdacaaI2aGaaG4maiaaiAdacaaI 5aGaaGynaaGaayjkaiaawMcaaiaacQcacqaHbpGCaaa@6FE8@

ρ =   62.60095344 * 1.0 0.00045 * T s 59 MathType@MTEF@5@5@+= feaahqart1ev3aqatCvAUfeBSjuyZL2yd9gzLbvyNv2CaerbuLwBLn hiov2DGi1BTfMBaeXatLxBI9gBaerbd9wDYLwzYbItLDharqqtubsr 4rNCHbGeaGqiVu0Je9sqqrpepC0xbbL8F4rqqrFfpeea0xe9Lq=Jc9 vqaqpepm0xbba9pwe9Q8fs0=yqaqpepae9pg0FirpepeKkFr0xfr=x fr=xb9adbaqaaeGaciGaaiaabeqaamaabaabaaGcbaaeaaaaaaaaa8 qacqaHbpGCcqGH9aqpcaGGGcGaaGOnaiaaikdacaGGUaGaaGOnaiaa icdacaaIWaGaaGyoaiaaiwdacaaIZaGaaGinaiaaisdacaGGQaWaae Waa8aabaWdbiaaigdacaGGUaGaaGimaiabgkHiTiaaicdacaGGUaGa aGimaiaaicdacaaIWaGaaGinaiaaiwdacaGGQaWaaeWaa8aabaWdbi aadsfapaWaaSbaaSqaa8qacaWGZbaapaqabaGcpeGaeyOeI0IaaGyn aiaaiMdaaiaawIcacaGLPaaaaiaawIcacaGLPaaaaaa@53A6@


Figure 10.

Mil 7808 oil

Cp=0.38675+ T s * 0.0006155 T s 2 *4.25* 10 7 MathType@MTEF@5@5@+= feaahqart1ev3aqatCvAUfeBSjuyZL2yd9gzLbvyNv2CaerbuLwBLn hiov2DGi1BTfMBaeXatLxBI9gBaerbd9wDYLwzYbItLDharqqtubsr 4rNCHbGeaGqiVu0Je9sqqrpepC0xbbL8F4rqqrFfpeea0xe9Lq=Jc9 vqaqpepm0xbba9pwe9Q8fs0=yqaqpepae9pg0FirpepeKkFr0xfr=x fr=xb9adbaqaaeGaciGaaiaabeqaamaabaabaaGcbaaeaaaaaaaaa8 qacaWGdbGaamiCaiabg2da9iaaicdacaGGUaGaaG4maiaaiIdacaaI 2aGaaG4naiaaiwdacqGHRaWkcaWGubWdamaaBaaaleaapeGaam4Caa WdaeqaaOWdbiaacQcacaGGGcGaaGimaiaac6cacaaIWaGaaGimaiaa icdacaaI2aGaaGymaiaaiwdacaaI1aGaeyOeI0Iaamiva8aadaqhaa WcbaWdbiaadohaa8aabaWdbiaaikdaaaGccaGGQaGaeyOeI0IaaGin aiaac6cacaaIYaGaaGynaiaacQcacaaIXaGaaGima8aadaahaaWcbe qaa8qacqGHsislcaaI3aaaaaaa@5620@

k=0.088333333 T s *1.333333333* 10 5 MathType@MTEF@5@5@+= feaahqart1ev3aqatCvAUfeBSjuyZL2yd9gzLbvyNv2CaerbuLwBLn hiov2DGi1BTfMBaeXatLxBI9gBaerbd9wDYLwzYbItLDharqqtubsr 4rNCHbGeaGqiVu0Je9sqqrpepC0xbbL8F4rqqrFfpeea0xe9Lq=Jc9 vqaqpepm0xbba9pwe9Q8fs0=yqaqpepae9pg0FirpepeKkFr0xfr=x fr=xb9adbaqaaeGaciGaaiaabeqaamaabaabaaGcbaaeaaaaaaaaa8 qacaWGRbGaeyypa0JaaGimaiaac6cacaaIWaGaaGioaiaaiIdacaaI ZaGaaG4maiaaiodacaaIZaGaaG4maiaaiodacqGHsislcaWGubWdam aaBaaaleaapeGaam4CaaWdaeqaaOWdbiaacQcacaaIXaGaaiOlaiaa iodacaaIZaGaaG4maiaaiodacaaIZaGaaG4maiaaiodacaaIZaGaaG 4maiaacQcacaaIXaGaaGima8aadaahaaWcbeqaa8qacqGHsislcaaI 1aaaaaaa@502F@

μ=0.038750078* 10 10 3.985828904* log 10 T s 1.8 +9.979718305 0.430374380 *ρ MathType@MTEF@5@5@+= feaahqart1ev3aqatCvAUfeBSjuyZL2yd9gzLbvyNv2CaerbuLwBLn hiov2DGi1BTfMBaeXatLxBI9gBaerbd9wDYLwzYbItLDharqqtubsr 4rNCHbGeaGqiVu0Je9sqqrpepC0xbbL8F4rqqrFfpeea0xe9Lq=Jc9 vqaqpepm0xbba9pwe9Q8fs0=yqaqpepae9pg0FirpepeKkFr0xfr=x fr=xb9adbaqaaeGaciGaaiaabeqaamaabaabaaGcbaaeaaaaaaaaa8 qacqaH8oqBcqGH9aqpcaaIWaGaaiOlaiaaicdacaaIZaGaaGioaiaa iEdacaaI1aGaaGimaiaaicdacaaI3aGaaGioaiaacQcadaqadaWdae aapeGaaGymaiaaicdapaWaaWbaaSqabeaapeGaaGymaiaaicdapaWa aWbaaWqabeaapeGaeyOeI0IaaG4maiaac6cacaaI5aGaaGioaiaaiw dacaaI4aGaaGOmaiaaiIdacaaI5aGaaGimaiaaisdacaGGQaGaciiB aiaac+gacaGGNbWdamaaBaaabaWdbiaaigdacaaIWaaapaqabaWdbm aabmaapaqaa8qadaWccaWdaeaapeGaamiva8aadaWgaaqaa8qacaWG ZbaapaqabaaabaWdbiaaigdacaGGUaGaaGioaaaaaiaawIcacaGLPa aacqGHRaWkcaaI5aGaaiOlaiaaiMdacaaI3aGaaGyoaiaaiEdacaaI XaGaaGioaiaaiodacaaIWaGaaGynaaaaaaGccqGHsislcaaIWaGaai OlaiaaisdacaaIZaGaaGimaiaaiodacaaI3aGaaGinaiaaiodacaaI 4aGaaGimaaGaayjkaiaawMcaaiaacQcacqaHbpGCaaa@6FF7@

ρ =   60.099410610 * 1.0 0.00045 * T s 59 MathType@MTEF@5@5@+= feaahqart1ev3aqatCvAUfeBSjuyZL2yd9gzLbvyNv2CaerbuLwBLn hiov2DGi1BTfMBaeXatLxBI9gBaerbd9wDYLwzYbItLDharqqtubsr 4rNCHbGeaGqiVu0Je9sqqrpepC0xbbL8F4rqqrFfpeea0xe9Lq=Jc9 vqaqpepm0xbba9pwe9Q8fs0=yqaqpepae9pg0FirpepeKkFr0xfr=x fr=xb9adbaqaaeGaciGaaiaabeqaamaabaabaaGcbaaeaaaaaaaaa8 qacqaHbpGCcqGH9aqpcaGGGcGaaGOnaiaaicdacaGGUaGaaGimaiaa iMdacaaI5aGaaGinaiaaigdacaaIWaGaaGOnaiaaigdacaaIWaGaai Okamaabmaapaqaa8qacaaIXaGaaiOlaiaaicdacqGHsislcaaIWaGa aiOlaiaaicdacaaIWaGaaGimaiaaisdacaaI1aGaaiOkamaabmaapa qaa8qacaWGubWdamaaBaaaleaapeGaam4CaaWdaeqaaOWdbiabgkHi TiaaiwdacaaI5aaacaGLOaGaayzkaaaacaGLOaGaayzkaaaaaa@545D@


Figure 11.
Note: In the fluid property calculation equations above, TS,F are in Fahrenheit.

VG32 Oil

VG32 Oil properties are implemented as tables in Flow Simulator. The tables for each fluid property are plotted below.


Figure 12.
Ethylene Glycol - Water Solution
T
Temperature of the solution in Celsius
x
Mass fraction of Ethylene Glycol
Density Calculation - D. Bohne, S. Fischer, and E. Obermeie: Thermal Conductivity, Density, Viscosity, and Prandtl-Numbers of Ethylene Glycol-Water Mixtures(5)



Figure 13.


Figure 14. Density of ethylene glycol-water mixtures

Thermal Conductivity Calculation: D. Bohne, S. Fischer, and E. Obermeie: Thermal Conductivity, Density, Viscosity, and Prandtl-Numbers of Ethylene Glycol-Water Mixtures

κH20 = 0.570990 + 1.67156e-3 * T - 6.09054e-6 * T2

κEG = 0.245110 + 1.75500e-4 * T - 8.52000e-7 * T2

κCONST = 0.6635 – 0.3698 * x – 8.85e-4 * T

κSOL = (1-x) * kH20+ x * κEG - κCONST * (κH20- κEG ) * (1-x) * x

κSOL = κSOL * 0.5781759824 (convert from W/m-K to BTU/hr-ft-degR)


Figure 15. Thermal conductivity of ethylene glycol-water mixtures

Dynamic Viscosity Calculation: Tongfan Sun and Amyn S. Teja: Density, Viscosity, and Thermal Conductivity of Aqueous Ethylene, Diethylene, and Triethylene Glycol Mixtures between 290 K and 450 K

µEG = -3.613590 + 986.5190 / (T + 127.8610)

µH20 = -3.758023 + 590.9808 / (T + 137.2645)

µCONST = -0.165301 -0.287325 * x +1.10978e-3 * T

µSOL = EXP [ x * µEG + (1-x) * µH20 + (µEG - µH20)* x * (1-x) * µCONST]

µSOL = µSOL * 2.4190883293091 (convert from mPa/s to lbm/hr-ft)


Figure 16. Viscosity of ethylene glycol-water mixtures

Specific Heat Calculations/Property Tables (source: Engineering Toolbox (https://www.engineeringtoolbox.com/)

Propylene Glycol - Water Solution, Tongfan Sun and Amyn S. Teja: Density, Viscosity and Thermal Conductivity of Aqueous Solutions of Propylene Glycol, Dipropylene Glycol, and Tripropylene Glycol between 290 K and 460 K
T
Temperature of the solution in Celsius
w
Mass fraction of ethylene glycol


Figure 17. Density Calculation


Figure 18. Density Calculation

Thermal conductivity calculation:

µH20 = 0.570990 + 1.67156e-3 * T - 6.09054e-6 * (T2)

µPG = 0.191160 + 1.19999e-4 / (T + 9.24590e-7)

µCONST = 0.362200 + 9.03450e-2 * FS - 2.0935e-4 * T *

µSOL = (1-FS) * µH20 + w * µPG - µCONST * (µH20 - µPG) * (1-w) * w

µSOL = µSOL * 0.5781759824 (convert from W/m-K to BTU/hr-ft-degR)


Figure 19.

Specific Heat Calculations/property tables - source is Engineering Toolbox (https://www.engineeringtoolbox.com/)

Dynamic Viscosity Calculations/property tables - source is Engineering Toolbox (https://www.engineeringtoolbox.com/)

Water

Water properties are implemented as tables in Flow Simulator. The tables for each fluid property are plotted below:
Figure 20.
Figure 21.
Figure 22.
Figure 23.
Figure 24.

Solid Material Properties

Flow Simulator supports the following solid materials:
  • Stainless Steel 321
  • Inco 625
  • SuperWool 607
  • Ceramic Paper
  • PTFE_PBI
  • Copper
  • Aluminum
Stainless Steel 321
ρ = 501.11 ! lbm/ft^3
EMISS = 0.85
Cp = 0.119503 ! BTU/(lb.F)
Figure 25.
Inco 625
ρ = 523.58 ! lbm/ft^3
EMISS = 0.71
Cp = 0.098 ! BTU/(lb.F)
Figure 26.
Superwool 607
ρ = 13.10988 ! lbm/ft^3
EMISS = 0.79
Cp = 0.1624152097 ! BTU/(lb.F)
Figure 27.
PTFE_PBI
k = 0.142 ! BTU/hr.ft.F
ρ = 137.3416 ! lbm/ft^3
EMISS = 0.92
Cp = 0.23168 ! BTU/(lb.F)
Copper
ρ = 558.0 lbm/ft^3
EMISS = 0.55
Cp = 0.0932 BTU/(lb.F)


Figure 28.
Aluminum
ρ = 169.0 lbm/ft^3
EMISS = 0.40
Cp = 0.215 BTU/(lb.F)


Figure 29.

General Mixing Equations

These mixing laws are used in Flow Simulator for mixtures of two or more built-in fluids or if the Coolprop mixing fails.

Liquid Mixtures

(6)
1 ρ m i x = i = 1 N   s p e c x i ρ i MathType@MTEF@5@5@+= feaahqart1ev3aqatCvAUfeBSjuyZL2yd9gzLbvyNv2CaerbuLwBLn hiov2DGi1BTfMBaeXatLxBI9gBaerbd9wDYLwzYbItLDharqqtubsr 4rNCHbGeaGqiVu0Je9sqqrpepC0xbbL8F4rqqrFfpeea0xe9Lq=Jc9 vqaqpepm0xbba9pwe9Q8fs0=yqaqpepae9pg0FirpepeKkFr0xfr=x fr=xb9adbaqaaeGaciGaaiaabeqaamaabaabaaGcbaaeaaaaaaaaa8 qadaWcaaWdaeaapeGaaGymaaWdaeaapeGaeqyWdi3damaaBaaaleaa peGaamyBaiaadMgacaWG4baapaqabaaaaOWdbiabg2da9maawahabe Wcpaqaa8qacaWGPbGaeyypa0JaaGymaaWdaeaapeGaamOtaiaaccka caWGZbGaamiCaiaadwgacaWGJbaan8aabaWdbiabggHiLdaakmaala aapaqaa8qacaWG4bWdamaaBaaaleaapeGaamyAaaWdaeqaaaGcbaWd biabeg8aY9aadaWgaaWcbaWdbiaadMgaa8aabeaaaaaaaa@4DE0@
“Refutas” method is used for viscosity of liquids(7)
V B N m i x = i = 1 N   s p e c x i * 10.975 + 14.534 * ln ln ν i + 0.8 MathType@MTEF@5@5@+= feaahqart1ev3aqatCvAUfeBSjuyZL2yd9gzLbvyNv2CaerbuLwBLn hiov2DGi1BTfMBaeXatLxBI9gBaerbd9wDYLwzYbItLDharqqtubsr 4rNCHbGeaGqiVu0Je9sqqrpepC0xbbL8F4rqqrFfpeea0xe9Lq=Jc9 vqaqpepm0xbba9pwe9Q8fs0=yqaqpepae9pg0FirpepeKkFr0xfr=x fr=xb9adbaqaaeGaciGaaiaabeqaamaabaabaaGcbaaeaaaaaaaaa8 qacaWGwbGaamOqaiaad6eapaWaaSbaaSqaa8qacaWGTbGaamyAaiaa dIhaa8aabeaak8qacqGH9aqpdaGfWbqabSWdaeaapeGaamyAaiabg2 da9iaaigdaa8aabaWdbiaad6eacaGGGcGaam4CaiaadchacaWGLbGa am4yaaqdpaqaa8qacqGHris5aaGccaWG4bWdamaaBaaaleaapeGaam yAaaWdaeqaaOWdbiaacQcadaqadaWdaeaapeGaaGymaiaaicdacaGG UaGaaGyoaiaaiEdacaaI1aGaey4kaSIaaGymaiaaisdacaGGUaGaaG ynaiaaiodacaaI0aGaaiOkaiaabYgacaqGUbWaaeWaa8aabaWdbiaa bYgacaqGUbWaaeWaa8aabaWdbiabe27aU9aadaWgaaWcbaWdbiaadM gaa8aabeaak8qacqGHRaWkcaaIWaGaaiOlaiaaiIdaaiaawIcacaGL PaaaaiaawIcacaGLPaaaaiaawIcacaGLPaaaaaa@6444@
(8)
ν m i x = e x p e x p V B N m i x 10.975 14.534 0.8 MathType@MTEF@5@5@+= feaahqart1ev3aqatCvAUfeBSjuyZL2yd9gzLbvyNv2CaerbuLwBLn hiov2DGi1BTfMBaeXatLxBI9gBaerbd9wDYLwzYbItLDharqqtubsr 4rNCHbGeaGqiVu0Je9sqqrpepC0xbbL8F4rqqrFfpeea0xe9Lq=Jc9 vqaqpepm0xbba9pwe9Q8fs0=yqaqpepae9pg0FirpepeKkFr0xfr=x fr=xb9adbaqaaeGaciGaaiaabeqaamaabaabaaGcbaaeaaaaaaaaa8 qacqaH9oGBpaWaaSbaaSqaa8qacaWGTbGaamyAaiaadIhaa8aabeaa k8qacqGH9aqpcaWGLbGaamiEaiaadchadaqadaWdaeaapeGaamyzai aadIhacaWGWbWaaeWaa8aabaWdbmaalaaapaqaa8qacaWGwbGaamOq aiaad6eapaWaaSbaaSqaa8qacaWGTbGaamyAaiaadIhaa8aabeaak8 qacqGHsislcaaIXaGaaGimaiaac6cacaaI5aGaaG4naiaaiwdaa8aa baWdbiaaigdacaaI0aGaaiOlaiaaiwdacaaIZaGaaGinaaaaaiaawI cacaGLPaaaaiaawIcacaGLPaaacqGHsislcaaIWaGaaiOlaiaaiIda aaa@5816@
(9)
μ m i x = ν m i x * ρ m i x MathType@MTEF@5@5@+= feaahqart1ev3aqatCvAUfeBSjuyZL2yd9gzLbvyNv2CaerbuLwBLn hiov2DGi1BTfMBaeXatLxBI9gBaerbd9wDYLwzYbItLDharqqtubsr 4rNCHbGeaGqiVu0Je9sqqrpepC0xbbL8F4rqqrFfpeea0xe9Lq=Jc9 vqaqpepm0xbba9pwe9Q8fs0=yqaqpepae9pg0FirpepeKkFr0xfr=x fr=xb9adbaqaaeGaciGaaiaabeqaamaabaabaaGcbaaeaaaaaaaaa8 qacqaH8oqBpaWaaSbaaSqaa8qacaWGTbGaamyAaiaadIhaa8aabeaa k8qacqGH9aqpcqaH9oGBpaWaaSbaaSqaa8qacaWGTbGaamyAaiaadI haa8aabeaak8qacaGGQaGaeqyWdi3damaaBaaaleaapeGaamyBaiaa dMgacaWG4baapaqabaaaaa@46CF@
(10)
k m i x = e x p i = 1 N   s p e c x i * ln k i MathType@MTEF@5@5@+= feaahqart1ev3aqatCvAUfeBSjuyZL2yd9gzLbvyNv2CaerbuLwBLn hiov2DGi1BTfMBaeXatLxBI9gBaerbd9wDYLwzYbItLDharqqtubsr 4rNCHbGeaGqiVu0Je9sqqrpepC0xbbL8F4rqqrFfpeea0xe9Lq=Jc9 vqaqpepm0xbba9pwe9Q8fs0=yqaqpepae9pg0FirpepeKkFr0xfr=x fr=xb9adbaqaaeGaciGaaiaabeqaamaabaabaaGcbaaeaaaaaaaaa8 qacaWGRbWdamaaBaaaleaapeGaamyBaiaadMgacaWG4baapaqabaGc peGaeyypa0JaamyzaiaadIhacaWGWbWaaeWaa8aabaWdbmaawahabe Wcpaqaa8qacaWGPbGaeyypa0JaaGymaaWdaeaapeGaamOtaiaaccka caWGZbGaamiCaiaadwgacaWGJbaan8aabaWdbiabggHiLdaakiaadI hapaWaaSbaaSqaa8qacaWGPbaapaqabaGcpeGaaiOkaiaabYgacaqG UbWaaeWaa8aabaWdbiaadUgapaWaaSbaaSqaa8qacaWGPbaapaqaba aak8qacaGLOaGaayzkaaaacaGLOaGaayzkaaaaaa@53DC@
(11)
C p m i x = i = 1 N   s p e c x i * C p i MathType@MTEF@5@5@+= feaahqart1ev3aqatCvAUfeBSjuyZL2yd9gzLbvyNv2CaerbuLwBLn hiov2DGi1BTfMBaeXatLxBI9gBaerbd9wDYLwzYbItLDharqqtubsr 4rNCHbGeaGqiVu0Je9sqqrpepC0xbbL8F4rqqrFfpeea0xe9Lq=Jc9 vqaqpepm0xbba9pwe9Q8fs0=yqaqpepae9pg0FirpepeKkFr0xfr=x fr=xb9adbaqaaeGaciGaaiaabeqaamaabaabaaGcbaaeaaaaaaaaa8 qacaWGdbGaamiCa8aadaWgaaWcbaWdbiaad2gacaWGPbGaamiEaaWd aeqaaOWdbiabg2da9maawahabeWcpaqaa8qacaWGPbGaeyypa0JaaG ymaaWdaeaapeGaamOtaiaacckacaWGZbGaamiCaiaadwgacaWGJbaa n8aabaWdbiabggHiLdaakiaadIhapaWaaSbaaSqaa8qacaWGPbaapa qabaGcpeGaaiOkaiaadoeacaWGWbWdamaaBaaaleaapeGaamyAaaWd aeqaaaaa@4D50@

x i =mass fraction of species i MathType@MTEF@5@5@+= feaahqart1ev3aqatCvAUfeBSjuyZL2yd9gzLbvyNv2CaerbuLwBLn hiov2DGi1BTfMBaeXatLxBI9gBaerbd9wDYLwzYbItLDharqqtubsr 4rNCHbGeaGqiVu0Je9sqqrpepC0xbbL8F4rqqrFfpeea0xe9Lq=Jc9 vqaqpepm0xbba9pwe9Q8fs0=yqaqpepae9pg0FirpepeKkFr0xfr=x fr=xb9adbaqaaeGaciGaaiaabeqaamaabaabaaGcbaaeaaaaaaaaa8 qacaWG4bWdamaaBaaaleaapeGaamyAaaWdaeqaaOWdbiabg2da9iaa d2gacaWGHbGaam4CaiaadohacaGGGcGaamOzaiaadkhacaWGHbGaam 4yaiaadshacaWGPbGaam4Baiaad6gacaGGGcGaam4BaiaadAgacaGG GcGaam4CaiaadchacaWGLbGaam4yaiaadMgacaWGLbGaam4Caiaacc kacaWGPbaaaa@52AB@

ρ=density,  μ=viscosity,  Cp=Specific Heat at constant pressure,   k=conductivity MathType@MTEF@5@5@+= feaahqart1ev3aqatCvAUfeBSjuyZL2yd9gzLbvyNv2CaerbuLwBLn hiov2DGi1BTfMBaeXatLxBI9gBaerbd9wDYLwzYbItLDharqqtubsr 4rNCHbGeaGqiVu0Je9sqqrpepC0xbbL8F4rqqrFfpeea0xe9Lq=Jc9 vqaqpepm0xbba9pwe9Q8fs0=yqaqpepae9pg0FirpepeKkFr0xfr=x fr=xb9adbaqaaeGaciGaaiaabeqaamaabaabaaGcbaaeaaaaaaaaa8 qacqaHbpGCcqGH9aqpcaWGKbGaamyzaiaad6gacaWGZbGaamyAaiaa dshacaWG5bGaaiilaiaacckacaGGGcGaeqiVd0Maeyypa0JaamODai aadMgacaWGZbGaam4yaiaad+gacaWGZbGaamyAaiaadshacaWG5bGa aiilaiaacckacaGGGcGaam4qaiaadchacqGH9aqpcaWGtbGaamiCai aadwgacaWGJbGaamyAaiaadAgacaWGPbGaam4yaiaacckacaWGibGa amyzaiaadggacaWG0bGaaiiOaiaadggacaWG0bGaaiiOaiaadogaca WGVbGaamOBaiaadohacaWG0bGaamyyaiaad6gacaWG0bGaaiiOaiaa dchacaWGYbGaamyzaiaadohacaWGZbGaamyDaiaadkhacaWGLbGaai ilaiaacckacaGGGcGaaiiOaiaadUgacqGH9aqpcaWGJbGaam4Baiaa d6gacaWGKbGaamyDaiaadogacaWG0bGaamyAaiaadAhacaWGPbGaam iDaiaadMhaaaa@857F@

ν=kinematic viscosity MathType@MTEF@5@5@+= feaahqart1ev3aqatCvAUfeBSjuyZL2yd9gzLbvyNv2CaerbuLwBLn hiov2DGi1BTfMBaeXatLxBI9gBaerbd9wDYLwzYbItLDharqqtubsr 4rNCHbGeaGqiVu0Je9sqqrpepC0xbbL8F4rqqrFfpeea0xe9Lq=Jc9 vqaqpepm0xbba9pwe9Q8fs0=yqaqpepae9pg0FirpepeKkFr0xfr=x fr=xb9adbaqaaeGaciGaaiaabeqaamaabaabaaGcbaaeaaaaaaaaa8 qacqaH9oGBcqGH9aqpcaWGRbGaamyAaiaad6gacaWGLbGaamyBaiaa dggacaWG0bGaamyAaiaadogacaGGGcGaamODaiaadMgacaWGZbGaam 4yaiaad+gacaWGZbGaamyAaiaadshacaWG5baaaa@4AF2@

Liquid/Gas Mixtures

(12)
1 ρ mix = i=1 N spec x i ρ i MathType@MTEF@5@5@+= feaahqart1ev3aqatCvAUfeBSjuyZL2yd9gzLbvyNv2CaerbuLwBLn hiov2DGi1BTfMBaeXatLxBI9gBaerbd9wDYLwzYbItLDharqqtubsr 4rNCHbGeaGqiVu0Je9sqqrpepC0xbbL8F4rqqrFfpeea0xe9Lq=Jc9 vqaqpepm0xbba9pwe9Q8fs0=yqaqpepae9pg0FirpepeKkFr0xfr=x fr=xb9adbaqaaeGaciGaaiaabeqaamaabaabaaGcbaaeaaaaaaaaa8 qadaWcaaWdaeaapeGaaGymaaWdaeaapeGaeqyWdi3damaaBaaaleaa peGaamyBaiaadMgacaWG4baapaqabaaaaOWdbiabg2da9maawahabe Wcpaqaa8qacaWGPbGaeyypa0JaaGymaaWdaeaapeGaamOtaiaaccka caWGZbGaamiCaiaadwgacaWGJbaan8aabaWdbiabggHiLdaakmaala aapaqaa8qacaWG4bWdamaaBaaaleaapeGaamyAaaWdaeqaaaGcbaWd biabeg8aY9aadaWgaaWcbaWdbiaadMgaa8aabeaaaaaaaa@4DE0@
(13)
1 μ mix = i=1 N spec x i μ i MathType@MTEF@5@5@+= feaahqart1ev3aqatCvAUfeBSjuyZL2yd9gzLbvyNv2CaerbuLwBLn hiov2DGi1BTfMBaeXatLxBI9gBaerbd9wDYLwzYbItLDharqqtubsr 4rNCHbGeaGqiVu0Je9sqqrpepC0xbbL8F4rqqrFfpeea0xe9Lq=Jc9 vqaqpepm0xbba9pwe9Q8fs0=yqaqpepae9pg0FirpepeKkFr0xfr=x fr=xb9adbaqaaeGaciGaaiaabeqaamaabaabaaGcbaaeaaaaaaaaa8 qadaWcaaWdaeaapeGaaGymaaWdaeaapeGaeqiVd02damaaBaaaleaa peGaamyBaiaadMgacaWG4baapaqabaaaaOWdbiabg2da9maawahabe Wcpaqaa8qacaWGPbGaeyypa0JaaGymaaWdaeaapeGaamOtaiaaccka caWGZbGaamiCaiaadwgacaWGJbaan8aabaWdbiabggHiLdaakmaala aapaqaa8qacaWG4bWdamaaBaaaleaapeGaamyAaaWdaeqaaaGcbaWd biabeY7aT9aadaWgaaWcbaWdbiaadMgaa8aabeaaaaaaaa@4DCC@
(14)
k mix =exp i=1 N spec x i *ln k i MathType@MTEF@5@5@+= feaahqart1ev3aqatCvAUfeBSjuyZL2yd9gzLbvyNv2CaerbuLwBLn hiov2DGi1BTfMBaeXatLxBI9gBaerbd9wDYLwzYbItLDharqqtubsr 4rNCHbGeaGqiVu0Je9sqqrpepC0xbbL8F4rqqrFfpeea0xe9Lq=Jc9 vqaqpepm0xbba9pwe9Q8fs0=yqaqpepae9pg0FirpepeKkFr0xfr=x fr=xb9adbaqaaeGaciGaaiaabeqaamaabaabaaGcbaaeaaaaaaaaa8 qacaWGRbWdamaaBaaaleaapeGaamyBaiaadMgacaWG4baapaqabaGc peGaeyypa0JaamyzaiaadIhacaWGWbWaaeWaa8aabaWdbmaawahabe Wcpaqaa8qacaWGPbGaeyypa0JaaGymaaWdaeaapeGaamOtaiaaccka caWGZbGaamiCaiaadwgacaWGJbaan8aabaWdbiabggHiLdaakiaadI hapaWaaSbaaSqaa8qacaWGPbaapaqabaGcpeGaaiOkaiaabYgacaqG UbWaaeWaa8aabaWdbiaadUgapaWaaSbaaSqaa8qacaWGPbaapaqaba aak8qacaGLOaGaayzkaaaacaGLOaGaayzkaaaaaa@53DC@
(15)
C p mix = i=1 N spec x i *C p i MathType@MTEF@5@5@+= feaahqart1ev3aqatCvAUfeBSjuyZL2yd9gzLbvyNv2CaerbuLwBLn hiov2DGi1BTfMBaeXatLxBI9gBaerbd9wDYLwzYbItLDharqqtubsr 4rNCHbGeaGqiVu0Je9sqqrpepC0xbbL8F4rqqrFfpeea0xe9Lq=Jc9 vqaqpepm0xbba9pwe9Q8fs0=yqaqpepae9pg0FirpepeKkFr0xfr=x fr=xb9adbaqaaeGaciGaaiaabeqaamaabaabaaGcbaaeaaaaaaaaa8 qacaWGdbGaamiCa8aadaWgaaWcbaWdbiaad2gacaWGPbGaamiEaaWd aeqaaOWdbiabg2da9maawahabeWcpaqaa8qacaWGPbGaeyypa0JaaG ymaaWdaeaapeGaamOtaiaacckacaWGZbGaamiCaiaadwgacaWGJbaa n8aabaWdbiabggHiLdaakiaadIhapaWaaSbaaSqaa8qacaWGPbaapa qabaGcpeGaaiOkaiaadoeacaWGWbWdamaaBaaaleaapeGaamyAaaWd aeqaaaaa@4D50@

Gas Mixtures

The properties of each species in a gas mixture is retrieved using the partial pressure of the gas.

(16)
ρ mix = i=1 N spec ρ i MathType@MTEF@5@5@+= feaahqart1ev3aqatCvAUfeBSjuyZL2yd9gzLbvyNv2CaerbuLwBLn hiov2DGi1BTfMBaeXatLxBI9gBaerbd9wDYLwzYbItLDharqqtubsr 4rNCHbGeaGqiVu0Je9sqqrpepC0xbbL8F4rqqrFfpeea0xe9Lq=Jc9 vqaqpepm0xbba9pwe9Q8fs0=yqaqpepae9pg0FirpepeKkFr0xfr=x fr=xb9adbaqaaeGaciGaaiaabeqaamaabaabaaGcbaaeaaaaaaaaa8 qacqaHbpGCpaWaaSbaaSqaa8qacaWGTbGaamyAaiaadIhaa8aabeaa k8qacqGH9aqpdaGfWbqabSWdaeaapeGaamyAaiabg2da9iaaigdaa8 aabaWdbiaad6eacaGGGcGaam4CaiaadchacaWGLbGaam4yaaqdpaqa a8qacqGHris5aaGccqaHbpGCpaWaaSbaaSqaa8qacaWGPbaapaqaba aaaa@4A49@
(17)
z mix = i=1 N spec z i MathType@MTEF@5@5@+= feaahqart1ev3aqatCvAUfeBSjuyZL2yd9gzLbvyNv2CaerbuLwBLn hiov2DGi1BTfMBaeXatLxBI9gBaerbd9wDYLwzYbItLDharqqtubsr 4rNCHbGeaGqiVu0Je9sqqrpepC0xbbL8F4rqqrFfpeea0xe9Lq=Jc9 vqaqpepm0xbba9pwe9Q8fs0=yqaqpepae9pg0FirpepeKkFr0xfr=x fr=xb9adbaqaaeGaciGaaiaabeqaamaabaabaaGcbaaeaaaaaaaaa8 qacaWG6bWdamaaBaaaleaapeGaamyBaiaadMgacaWG4baapaqabaGc peGaeyypa0ZaaybCaeqal8aabaWdbiaadMgacqGH9aqpcaaIXaaapa qaa8qacaWGobGaaiiOaiaadohacaWGWbGaamyzaiaadogaa0Wdaeaa peGaeyyeIuoaaOGaamOEa8aadaWgaaWcbaWdbiaadMgaa8aabeaaaa a@48C7@
“Wilke’s” correlation is used for viscosity and conductivity of gases.(18)
ϕ i j = 1 8 1 + M W i M W j * 1 + μ i μ j M W j M W i 4 2 MathType@MTEF@5@5@+= feaahqart1ev3aqatCvAUfeBSjuyZL2yd9gzLbvyNv2CaerbuLwBLn hiov2DGi1BTfMBaeXatLxBI9gBaerbd9wDYLwzYbItLDharqqtubsr 4rNCHbGeaGqiVu0Je9sqqrpepC0xbbL8F4rqqrFfpeea0xe9Lq=Jc9 vqaqpepm0xbba9pwe9Q8fs0=yqaqpepae9pg0FirpepeKkFr0xfr=x fr=xb9adbaqaaeGaciGaaiaabeqaamaabaabaaGcbaaeaaaaaaaaa8 qacqaHvpGzpaWaaSbaaSqaa8qacaWGPbGaamOAaaWdaeqaaOWdbiab g2da9maalaaapaqaa8qacaaIXaaapaqaa8qadaGcaaWdaeaapeGaaG ioaaWcbeaakmaakaaapaqaa8qacaaIXaGaey4kaSYaaSaaa8aabaWd biaad2eacaWGxbWdamaaBaaaleaapeGaamyAaaWdaeqaaaGcbaWdbi aad2eacaWGxbWdamaaBaaaleaapeGaamOAaaWdaeqaaaaaa8qabeaa aaGccaGGQaWaaeWaa8aabaWdbiaaigdacqGHRaWkdaGcaaWdaeaape WaaSaaa8aabaWdbiabeY7aT9aadaWgaaWcbaWdbiaadMgaa8aabeaa aOqaa8qacqaH8oqBpaWaaSbaaSqaa8qacaWGQbaapaqabaaaaaWdbe qaaOWaaOqaa8aabaWdbmaalaaapaqaa8qacaWGnbGaam4va8aadaWg aaWcbaWdbiaadQgaa8aabeaaaOqaa8qacaWGnbGaam4va8aadaWgaa WcbaWdbiaadMgaa8aabeaaaaaabaWdbiaaisdaaaaakiaawIcacaGL PaaapaWaaWbaaSqabeaapeGaaGOmaaaaaaa@5825@
(19)
μ m i x = i = 1 N   s p e c y i * μ i j = 1 N s p e c y i * ϕ i j MathType@MTEF@5@5@+= feaahqart1ev3aqatCvAUfeBSjuyZL2yd9gzLbvyNv2CaerbuLwBLn hiov2DGi1BTfMBaeXatLxBI9gBaerbd9wDYLwzYbItLDharqqtubsr 4rNCHbGeaGqiVu0Je9sqqrpepC0xbbL8F4rqqrFfpeea0xe9Lq=Jc9 vqaqpepm0xbba9pwe9Q8fs0=yqaqpepae9pg0FirpepeKkFr0xfr=x fr=xb9adbaqaaeGaciGaaiaabeqaamaabaabaaGcbaaeaaaaaaaaa8 qacqaH8oqBpaWaaSbaaSqaa8qacaWGTbGaamyAaiaadIhaa8aabeaa k8qacqGH9aqpdaGfWbqabSWdaeaapeGaamyAaiabg2da9iaaigdaa8 aabaWdbiaad6eacaGGGcGaam4CaiaadchacaWGLbGaam4yaaqdpaqa a8qacqGHris5aaGcdaWcaaWdaeaapeGaamyEa8aadaWgaaWcbaWdbi aadMgaa8aabeaak8qacaGGQaGaeqiVd02damaaBaaaleaapeGaamyA aaWdaeqaaaGcbaWdbmaavadabeWcpaqaa8qacaWGQbGaeyypa0JaaG ymaaWdaeaapeGaamOtaiaadohacaWGWbGaamyzaiaadogaa0Wdaeaa peGaeyyeIuoaaOGaamyEa8aadaWgaaWcbaWdbiaadMgaa8aabeaak8 qacaGGQaGaeqy1dy2damaaBaaaleaapeGaamyAaiaadQgaa8aabeaa aaaaaa@5E4B@
(20)
k m i x = i = 1 N   s p e c y i * k i j = 1 N s p e c y i * ϕ i j MathType@MTEF@5@5@+= feaahqart1ev3aqatCvAUfeBSjuyZL2yd9gzLbvyNv2CaerbuLwBLn hiov2DGi1BTfMBaeXatLxBI9gBaerbd9wDYLwzYbItLDharqqtubsr 4rNCHbGeaGqiVu0Je9sqqrpepC0xbbL8F4rqqrFfpeea0xe9Lq=Jc9 vqaqpepm0xbba9pwe9Q8fs0=yqaqpepae9pg0FirpepeKkFr0xfr=x fr=xb9adbaqaaeGaciGaaiaabeqaamaabaabaaGcbaaeaaaaaaaaa8 qacaWGRbWdamaaBaaaleaapeGaamyBaiaadMgacaWG4baapaqabaGc peGaeyypa0ZaaybCaeqal8aabaWdbiaadMgacqGH9aqpcaaIXaaapa qaa8qacaWGobGaaiiOaiaadohacaWGWbGaamyzaiaadogaa0Wdaeaa peGaeyyeIuoaaOWaaSaaa8aabaWdbiaadMhapaWaaSbaaSqaa8qaca WGPbaapaqabaGcpeGaaiOkaiaadUgapaWaaSbaaSqaa8qacaWGPbaa paqabaaakeaapeWaaubmaeqal8aabaWdbiaadQgacqGH9aqpcaaIXa aapaqaa8qacaWGobGaam4CaiaadchacaWGLbGaam4yaaqdpaqaa8qa cqGHris5aaGccaWG5bWdamaaBaaaleaapeGaamyAaaWdaeqaaOWdbi aacQcacqaHvpGzpaWaaSbaaSqaa8qacaWGPbGaamOAaaWdaeqaaaaa aaa@5CBF@
(21)
C p m i x = i = 1 N   s p e c x i * C p i MathType@MTEF@5@5@+= feaahqart1ev3aqatCvAUfeBSjuyZL2yd9gzLbvyNv2CaerbuLwBLn hiov2DGi1BTfMBaeXatLxBI9gBaerbd9wDYLwzYbItLDharqqtubsr 4rNCHbGeaGqiVu0Je9sqqrpepC0xbbL8F4rqqrFfpeea0xe9Lq=Jc9 vqaqpepm0xbba9pwe9Q8fs0=yqaqpepae9pg0FirpepeKkFr0xfr=x fr=xb9adbaqaaeGaciGaaiaabeqaamaabaabaaGcbaaeaaaaaaaaa8 qacaWGdbGaamiCa8aadaWgaaWcbaWdbiaad2gacaWGPbGaamiEaaWd aeqaaOWdbiabg2da9maawahabeWcpaqaa8qacaWGPbGaeyypa0JaaG ymaaWdaeaapeGaamOtaiaacckacaWGZbGaamiCaiaadwgacaWGJbaa n8aabaWdbiabggHiLdaakiaadIhapaWaaSbaaSqaa8qacaWGPbaapa qabaGcpeGaaiOkaiaadoeacaWGWbWdamaaBaaaleaapeGaamyAaaWd aeqaaaaa@4D50@
(22)
γ term = i=1 N spec x i * γ i γ i 1                     γ mix = γ term γ term 1 MathType@MTEF@5@5@+= feaahqart1ev3aqatCvAUfeBSjuyZL2yd9gzLbvyNv2CaerbuLwBLn hiov2DGi1BTfMBaeXatLxBI9gBaerbd9wDYLwzYbItLDharqqtubsr 4rNCHbGeaGqiVu0Je9sqqrpepC0xbbL8F4rqqrFfpeea0xe9Lq=Jc9 vqaqpepm0xbba9pwe9Q8fs0=yqaqpepae9pg0FirpepeKkFr0xfr=x fr=xb9adbaqaaeGaciGaaiaabeqaamaabaabaaGcbaaeaaaaaaaaa8 qacqaHZoWzpaWaaSbaaSqaa8qacaWG0bGaamyzaiaadkhacaWGTbaa paqabaGcpeGaeyypa0ZaaybCaeqal8aabaWdbiaadMgacqGH9aqpca aIXaaapaqaa8qacaWGobGaaiiOaiaadohacaWGWbGaamyzaiaadoga a0WdaeaapeGaeyyeIuoaaOGaamiEa8aadaWgaaWcbaWdbiaadMgaa8 aabeaak8qacaGGQaWaaSaaa8aabaWdbiabeo7aN9aadaWgaaWcbaWd biaadMgaa8aabeaaaOqaa8qacqaHZoWzpaWaaSbaaSqaa8qacaWGPb aapaqabaGcpeGaeyOeI0IaaGymaaaacaGGGcGaaiiOaiaacckacaGG GcGaaiiOaiaacckacaGGGcGaaiiOaiaacckacaGGGcGaaiiOaiaacc kacaGGGcGaaiiOaiaacckacaGGGcGaaiiOaiaacckacaGGGcGaeq4S dC2damaaBaaaleaapeGaamyBaiaadMgacaWG4baapaqabaGcpeGaey ypa0ZaaSaaa8aabaWdbiabeo7aN9aadaWgaaWcbaWdbiaadshacaWG LbGaamOCaiaad2gaa8aabeaaaOqaa8qacqaHZoWzpaWaaSbaaSqaa8 qacaWG0bGaamyzaiaadkhacaWGTbaapaqabaGcpeGaeyOeI0IaaGym aaaaaaa@7C5C@

y i =mole fraction of species i MathType@MTEF@5@5@+= feaahqart1ev3aqatCvAUfeBSjuyZL2yd9gzLbvyNv2CaerbuLwBLn hiov2DGi1BTfMBaeXatLxBI9gBaerbd9wDYLwzYbItLDharqqtubsr 4rNCHbGeaGqiVu0Je9sqqrpepC0xbbL8F4rqqrFfpeea0xe9Lq=Jc9 vqaqpepm0xbba9pwe9Q8fs0=yqaqpepae9pg0FirpepeKkFr0xfr=x fr=xb9adbaqaaeGaciGaaiaabeqaamaabaabaaGcbaaeaaaaaaaaa8 qacaWG5bWdamaaBaaaleaapeGaamyAaaWdaeqaaOWdbiabg2da9iaa d2gacaWGVbGaamiBaiaadwgacaGGGcGaamOzaiaadkhacaWGHbGaam 4yaiaadshacaWGPbGaam4Baiaad6gacaGGGcGaam4BaiaadAgacaGG GcGaam4CaiaadchacaWGLbGaam4yaiaadMgacaWGLbGaam4Caiaacc kacaWGPbaaaa@52A5@

z=compressibility factor MathType@MTEF@5@5@+= feaahqart1ev3aqatCvAUfeBSjuyZL2yd9gzLbvyNv2CaerbuLwBLn hiov2DGi1BTfMBaeXatLxBI9gBaerbd9wDYLwzYbItLDharqqtubsr 4rNCHbGeaGqiVu0Je9sqqrpepC0xbbL8F4rqqrFfpeea0xe9Lq=Jc9 vqaqpepm0xbba9pwe9Q8fs0=yqaqpepae9pg0FirpepeKkFr0xfr=x fr=xb9adbaqaaeGaciGaaiaabeqaamaabaabaaGcbaaeaaaaaaaaa8 qacaWG6bGaeyypa0Jaam4yaiaad+gacaWGTbGaamiCaiaadkhacaWG LbGaam4CaiaadohacaWGPbGaamOyaiaadMgacaWGSbGaamyAaiaads hacaWG5bGaaiiOaiaadAgacaWGHbGaam4yaiaadshacaWGVbGaamOC aaaa@4D07@

γ=specific heat ratio MathType@MTEF@5@5@+= feaahqart1ev3aqatCvAUfeBSjuyZL2yd9gzLbvyNv2CaerbuLwBLn hiov2DGi1BTfMBaeXatLxBI9gBaerbd9wDYLwzYbItLDharqqtubsr 4rNCHbGeaGqiVu0Je9sqqrpepC0xbbL8F4rqqrFfpeea0xe9Lq=Jc9 vqaqpepm0xbba9pwe9Q8fs0=yqaqpepae9pg0FirpepeKkFr0xfr=x fr=xb9adbaqaaeGaciGaaiaabeqaamaabaabaaGcbaaeaaaaaaaaa8 qacqaHZoWzcqGH9aqpcaWGZbGaamiCaiaadwgacaWGJbGaamyAaiaa dAgacaWGPbGaam4yaiaacckacaWGObGaamyzaiaadggacaWG0bGaai iOaiaadkhacaWGHbGaamiDaiaadMgacaWGVbaaaa@4AE5@

M W i =molecular weight of species i MathType@MTEF@5@5@+= feaahqart1ev3aqatCvAUfeBSjuyZL2yd9gzLbvyNv2CaerbuLwBLn hiov2DGi1BTfMBaeXatLxBI9gBaerbd9wDYLwzYbItLDharqqtubsr 4rNCHbGeaGqiVu0Je9sqqrpepC0xbbL8F4rqqrFfpeea0xe9Lq=Jc9 vqaqpepm0xbba9pwe9Q8fs0=yqaqpepae9pg0FirpepeKkFr0xfr=x fr=xb9adbaqaaeGaciGaaiaabeqaamaabaabaaGcbaaeaaaaaaaaa8 qacaWGnbGaam4va8aadaWgaaWcbaWdbiaadMgaa8aabeaak8qacqGH 9aqpcaWGTbGaam4BaiaadYgacaWGLbGaam4yaiaadwhacaWGSbGaam yyaiaadkhacaGGGcGaam4DaiaadwgacaWGPbGaam4zaiaadIgacaWG 0bGaaiiOaiaad+gacaWGMbGaaiiOaiaadohacaWGWbGaamyzaiaado gacaWGPbGaamyzaiaadohacaGGGcGaamyAaaaa@562D@