Mechanical loss model parameters

Mechanical loss model settings

The definition of mechanical loss computation model is available only for some tests.



User inputs for defining the mechanical losses

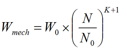
Mechanical loss model is considered as:



The following input parameters are needed:

  • “ speed ” (Reference speed) – N 0
  • “ Losses at ref. speed ” (mechanical losses at reference speed) – W 0
  • “ Exponent ” (Speed exponent) - K
  • Current speed “N” for which the mechanical losses “W mech ” must be computed