定义正交各向异性材料属性
用工程常数定义材料的正交各向异性属性。
格式

Figure 1.
示例

Figure 2.
备注
- 正交各向异性材料具有三个相互垂直的对称面。正交各向异性线弹性材料的应力-应变关系可表示为:
(1) 其中,柔度矩阵为 ,
Figure 3.
Figure 4.
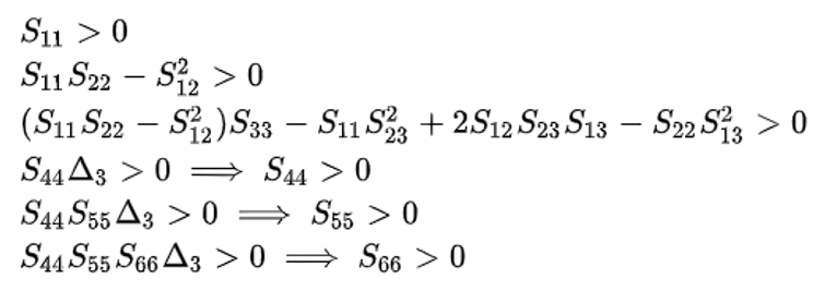
Figure 5.
Figure 6.如果不满足上述条件,就会发生错误。
Figure 7. - 如果热仿真需要,还可以给出热膨胀系数(沿 X、Y、Z 方向)和热属性。
用工程常数定义材料的正交各向异性属性。