FAN_COMPONENT
Specifies a fan component for an element set.
Type
AcuSolve Command
Syntax
FAN_COMPONENT("name") {parameters...}
Qualifier
User-given name.
Parameters
- shape (enumerated) [no default]
- Shape of the surfaces.
- three_node_triangle or tri3
- Three-node triangle.
- four_node_quad or quad4
- Four-node quadrilateral.
- six_node_triangle or tri6
- Six-node triangle.
- element_set or elem_set (string) [no default]
- User-given name of the parent element set. This element set is turned into a fan component by this command.
- surfaces (array) [no default]
- List of component inlet element surfaces.
- surface_sets (list) [={}]
- List of surface set names (strings) to use in this fan component. When using this option, the connectivity, shape, and parent element of the surfaces are provided by the surface set container and it is unnecessary to specify the shape, element_set and surfaces parameters directly to the FAN_COMPONENT command. This option is used in place of directly specifying these parameters. In the event that both the surface_sets and surfaces parameters are provided, the full collection of surface elements is read and a warning message is issued. The surface_sets option is the preferred method to specify the surface elements. This option provides support for mixed element topologies and simplifies pre-processing and post-processing.
- type (enumerated) [=axial]
- Type of fan.
- axial
- Axial fan. Fluid enters axially.
- radial
- Radial fan. Fluid enters radially.
- center direction [={0,0,0}]
- A point on the center of rotation, specified in the global xyz coordinate system.
- direction or dir (array) [={1,0,0}]
- Axial direction of the fan, specified in the global xyz coordinate system.
- angular_speed or omega (real) [=1]
- Fan rotational speed, in radians per unit of time.
- angular_speed_multiplier_function (string) [=none]
- User-given name of the multiplier function for scaling the angular speed. If none, no scaling is performed.
- tip_radius or radius (real) >0 [=1}
- Radius of the tip of the fan.
- thickness (real) >0 [=1]
- Fan thickness.
- axial_coefficient_type (enumerated) [=constant]
- Type of the axial coefficient.
- constant or const
- Constant for the entire set. Requires axial_coefficient.
- piecewise_bilinear or bilinear
- Piecewise bilinear curve fit. Requires axial_curve_fit_values, axial_curve_fit_row_variable and axial_curve_fit_column_variable.
- user_function or user
- User-defined function. Requires axial_user_function, axial_user_values and axial_user_strings.
- axial_coefficient (real) [=1]
- The constant value of the axial coefficient. Used with constant.
- axial_curve_fit_values (array) [={0,0;0,1}]
- Axial coefficient as a two dimensional curve fit table with two independent variables. Used with piecewise_linear axial coefficient type.
- axial_curve_fit_row_variable (enumerated) [=normalized_radius]
- Independent variable of the rows of the axial curve fit table. Used with
piecewise_linear axial coefficient type.
- normalized_radius or radius
- Radius normalized by the tip radius.
- axial_curve_fit_column_variable (enumerated) (=normalized_flow_rate)
- Independent variable of the columns of the axial curve fit table. Used with
piecewise_linear axial coefficient type.
- normalized_flow_rate or flow_rate
- Flow rate normalized with respect to inlet area, density, and tip velocity.
- axial_user_function (string) [no default]
- Name of the user-defined function for the axial coefficient. Used with user_function axial coefficient type.
- axial_user_values (array) [={}]
- Array of values to be passed to the user-defined function. Used with user_function axial coefficient type.
- axial_user_strings (list) [={}]
- Array of strings to be passed to the user-defined function. Used with user_function axial coefficient type.
- axial_multiplier_function (string) [=none]
- User-given name of the multiplier function for scaling the axial coefficient. If none, no scaling is performed.
- radial_coefficient_type (enumerated) [=constant]
- Type of the radial coefficient
- constant or const
- Constant for the entire set. Requires radial_coefficient.
- piecewise_linear or linear
- Piecewise bilinear curve fit. Requires radial_curve_fit_values, radial_curve_fit_row_variable and radial_curve_fit_column_variable.
- user_function or user
- User-defined function. Requires radial_user_function, radial_user_value and radial_user_strings.
- radial_coefficient (real) [=1]
- The constant value of the radial coefficient. Used with constant radial coefficient type.
- radial_curve_fit_values (array) [={0,0;0,1}]
- Radial coefficient as a two dimensional curve fit table with two independent variables. Used with piecewise_linear radial coefficient type.
- radial_curve_fit_row_variable (enumerated) [=normalized_radius]
- Independent variable of the rows of the radial curve fit table. Used with
piecewise_linear radial coefficient type.
- normalized_radius or radius
- Radius normalized by the tip radius.
- radial_curve_fit_column_variable (enumerated) [=normalized_flow_rate]
- Independent variable of the columns of the radial curve fit table. Used with
piecewise_linear radial coefficient type.
- normalized_flow_rate or flow_rate
- Flow rate normalized with respect to inlet area, density, and tip velocity.
- radial_user_function (string) [no default]
- Name of the user-defined function for the radial coefficient. Used with user_function radial coefficient type.
- radial_user_values (array) [={}]
- Array of values to be passed to the user-defined function. Used with user_function radial coefficient type.
- radial_user_strings (list) [={}]
- Array of strings to be passed to the user-defined function. Used with user_function radial coefficient type.
- radial_multiplier_function (string) [=none]
- User-given name of the multiplier function for scaling the radial coefficient. If none, no scaling is performed.
- tangential_coefficient_type (enumerated) [=constant]
- Type of the tangential coefficient.
- constant or const
- Constant for the entire set. Requires tangential_coefficient.
- piecewise_linear or linear
- Piecewise bilinear curve fit. Requires tangential_curve_fit_values, tangential_curve_fit_row_variable and tangential_curve_fit_column_variable.
- user_function or user
- User-defined function. Requires tangential_user_function, tangential_user_values and tangential_user_strings.
- tangential_coefficient (real) [=1]
- The constant value of the tangential coefficient. Used with constant tangential coefficient type.
- tangential_curve_fit_values (array) [={0,0;0,1}]
- Tangential coefficient as a two dimensional curve fit table with two independent variables. Used with piecewise_linear tangential coefficient type.
- tangential_curve_fit_row_variable (enumerated) [=normalized_radius]
- Independent variable of the rows of the tangential curve fit table. Used
with piecewise_linear tangential coefficient type.
- normalized_radius or radius
- Radius normalized by the tip radius.
- tangential_curve_fit_column_variable (enumerated) [=normalized_flow_rate]
- Independent variable of the columns of the tangential curve fit table. Used
with piecewise_bilinear tangential coefficient type.
- normalized_flow_rate or flow_rate
- Flow rate normalized with respect to inlet area, density, and tip velocity.
- tangential_user_function (string) [no default]
- Name of the user-defined function for the tangential coefficient. Used with user_function tangential coefficient type.
- tangential_user_values (array) [={}]
- Array of values to be passed to the user-defined function. Used with user_function tangential coefficient type.
- tangential_user_strings (list) [={}]
- Array of strings to be passed to the user-defined function. Used with user_function tangential coefficient type.
- tangential_multiplier_function (string) [=none]
- User-given name of the multiplier function for scaling the tangential coefficient. If none, no scaling is performed.
- pq_curve_type (enumerated) [=none]
- Type of the fan pressure-flow rate (P-Q) performance curve to simplify the
fan modeling process. You can specify fan performance directly through P-Q
curve, by-passing the legacy approach of non-dimensional coefficient
calculations.
- none
- None. Specified when using non-dimensional coefficient as input.
- piecewise_linear
-
Piecewise linear curve fit. Requires pq_curve_fit_values.
- pq_curve_fit_values (array) [={}]
- The pq_curve_fit_values parameter is a two-dimensional array which defines the fan performance curve with the first column of flow rate in m3/s and the second column of pressure increase in Pa.
- swirl_factor (real) [=0]
- Ratio of tangential body force and the primary body force.
Description
This command specifies the parameters of a fan component. It also turns all the elements of an element set into a single fan.
ELEMENT_SET( "engine fan" ) {
shape = four_node_tet
elements = { 1, 1, 9, 8, 3 ;
2, 3, 8, 9, 5 ;... }
...
}
FAN_COMPONENT( "fan" ) {
shape = three_node_triangle
element_set = "engine fan"
surfaces = { 1, 101, 1, 9, 8 ;
2, 102, 8, 9, 5 ; }
type = axial
center = { 0, 0, 0 }
direction = { 1, 0, 0 }
angular_speed = 3600 * (2*PI) / 60 # 3600 RPM
tip_radius = 0.11
thickness = 0.06
axial_coefficient_type = piecewise_bilinear
axial_curve_fit_values = {
0 , 0.0876, 0.0943, 0.1098, 0.1523, 0.1724, 0.2632 ;
0.43, 0.3783, 0.2685, 0.2385, 0.1783, 0.1493, 0.0185 ;
0.61, 0.3878, 0.2738, 0.2429, 0.1856, 0.1576, 0.0246 ;
0.72, 0.3925, 0.2782, 0.2482, 0.1909, 0.1649, 0.0289 ;
0.95, 0.3943, 0.2819, 0.2517, 0.1962, 0.1692, 0.0342 ;
axial_curve_fit_row_variable = normalized_radius
axial_curve_fit_column_variable = normalized_flow_rate
radial_coefficient_type = constant
radial_coefficient = 0
tangential_coefficient_tye = piecewise_bilinear
tangential_curve_fit_values = {
0 , 0.0876, 0.0943, 0.1098, 0.1523, 0.1724, 0.2632 ;
0.43, 0.0205, 0.0351, 0.0774, 0.1102, 0.1299, 0.0608 ;
0.61, 0.0899, 0.0764, 0.0771, 0.0798, 0.0766, 0.0423 ;
0.72, 0.0599, 0.0523, 0.0572, 0.0603, 0.0587, 0.0398 ;
0.95, 0.0401, 0.0344, 0.0399, 0.0412, 0.0402, 0.0254 ;
tangential_curve_fit_row_variable = normalized_radius
tangential_curve_fit_column_variable = normalized_flow_rate
}turns the "engine fan" element set into a fan component. The inlet of this axial fan is defined by the two surfaces (element faces) of elements 1 and 2. The axis of the fan passes through the global point (zero, zero, zero) in the global xyz coordinate system. The fan blows in the positive global x-direction. The fan speed is 3600 RPM (377 radians per second) in the clockwise direction. The fan tip radius (at the shroud) is 0.11. The distance from the front to the rear of the fan, fan thickness, is 0.06. The axial and tangential coefficients of the fan use a two-dimensional curve fit, while the radial coefficient is zero.
- Element shape
- Surface shape
- four_node_tet
- three_node_triangle
- five_node_pyramid
- three_node_triangle
- five_node_pyramid
- four_node_quad
- six_node_wedge
- three_node_triangle
- six_node_wedge
- four_node_quad
- eight_node_brick
- four_node_quad
- ten_node_tet
- six_node_triangle
The surfaces parameter contains the faces of the element set. This parameter is a multi-column array. The number of columns depends on the shape of the surface. For three_node_triangle, this parameter has five columns, corresponding to the element number (of the parent element set), a unique (within this set) surface number, and the three nodes of the element face. For four_node_quad, surfaces has six columns, corresponding to the element number, a surface number, and the four nodes of the element face. For six_node_triangle, surfaces has eight columns, corresponding to the element number, a surface number, and the six nodes of the element face. One row per surface must be given. The three, four, or six nodes of the surface may be in any arbitrary order, since they are reordered internally based on the parent element definition.
SURFACE_SET( "tri faces" ) {
surfaces = { 1, 1, 1, 2, 4 ;
2, 2, 3, 4, 6 ;
3, 3, 5, 6, 8 ; }
shape = three_node_triangle
volume_set = "tetrahedra"
}
SURFACE_SET( "quad faces" ) {
surfaces = { 1, 1, 1, 2, 4, 9 ;
2, 2, 3, 4, 6, 12 ;
3, 3, 5, 6, 8, 15 ; }
shape = four_node_quad
volume_set = "prisms"FAN_COMPONENT( "fan" ) {
surface_sets = { "tri_faces", "quad_faces" }
...
}tri faces
quad facesFAN_COMPONENT( "fan" ) {
surface_sets = Read ("surface_sets.srfst")
...
}The mixed topology version of the FAN_COMPONENT command is preferred. This version provides support for multiple element topologies within a single instance of the command and simplifies pre-processing and post-processing. In the event that both of the surface_sets and surfaces parameters are provided in the same instance of the command, the full collection of surface elements is read and a warning message is issued. Although the single and mixed topology formats of the commands can be combined, it is strongly recommended that they are not.
Two types of fans are supported. In an axial type, the fluid enters the fan in the axial direction, such as in the case of an engine fan. In a radial type, the flow enters radially at the hub of the fan, such as in the case of a blower fan.

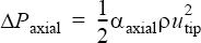
where
are,
respectively, the pressure increases in the axial, radial, and tangential
directions;
are, respectively, the axial, radial, and tangential coefficients of the fan
component, specified by axial_coefficient_type,
radial_coefficient_type,
tangential_coefficient_type, and related parameters;
is the density;
is the tip
velocity;
is the fan rotational speed, specified by
angular_speed;
is
the fan tip radius, specified by tip_radius; and
is
the mass averaged velocity through the inlet surface of the fan, where the inlet
surface is specified by surfaces.

The orientation of the fan is defined by radial and direction. These are in the global xyz coordinate system. The fan speed is given by angular_speed. Angular speed is in radians per unit time and uses the right hand rule to define the direction of the fan rotations. For positive values, the fan (looking in the direction axis) rotates clockwise, while for negative values the fan rotates in the counter-clockwise direction.
tip_radius defines the radius at the tip of the fan. This parameter must be consistent with the calibration data used to derive the fan coefficients.
thickness specifies the thickness of the fan. For an axial fan, this is the thickness in the axial direction of the fan. For a radial fan, this is the distance from the hub to the shroud.
A constant axial (tangential or radial) coefficient applies a uniform coefficient value to all quadrature points of the element set. For the above example, the radial coefficient is uniformly set to zero.
0.3783 ... 0.0185
...
0.3943 ... 0.0342are the axial coefficients.
0 0.0876 0.0943 0.1098 0.1523 0.1724 0.2632
0.43 0.3783 0.2685 0.2385 0.1783 0.1493 0.0185
0.61 0.3878 0.2738 0.2429 0.1856 0.1576 0.0246
0.72 0.3925 0.2782 0.2482 0.1909 0.1649 0.0289
0.95 0.3943 0.2819 0.2517 0.1962 0.1692 0.0342FAN_COMPONENT( "fan" ) {
...
axial_curve_fit_values = Read( "fan.axial.fit" )
}A piecewise_bilinear tangential or radial coefficient type is defined as in the axial case.
The user_function type for axial, tangential or radial coefficients allows for a more complex behavior; see the AcuSolve User-Defined Functions Guide for a detailed description of user-defined functions.
FAN_COMPONENT( "fan with UDF tangential coefficient" ) {
...
tangential_coefficient_type = user_function
tangential_user_function = "usrFanExample"
tangential_user_values = { 0, 0, 0, # fan center
1, 0, 0, # fan direction
0, 0, 0.2, # velocity coefs
0.11, # fan tip radius
3600 # fan speed
}
}#include "acusim.h"
#include "udf.h"
UDF_PROTOTYPE( usrFanExample ) ; /* function prototype */
Void usrFanExample (
UdfHd udfHd, /* Opaque handle for accessing data */
Real* outVec, /* Output vector */
Integer nItems, /* Number of elements */
Integer vecDim /* = 1 */
) {
Integer elem ; /* an element counter */
Real coef0 ; /* constant coefficient */
Real coef1 ; /* linear coefficient */
Real coef2 ; /* quadratic coefficient */
Real radRat ; /* radius ratio */
Real radius ; /* fan radius */
Real rpm ; /* fan speed */
Real tipVel ; /* tip velocity */
Real tmp ; /* a temporary value */
Real velCoef ; /* velocity coefficient */
Real xCenter ; /* x-coordinates of cente */
Real xDir ; /* x-direction of fan */
Real xPnt ; /* x-coord. of the point */
Real yCenter ; /* y-coordinates of center */
Real yDir ; /* y-direction of fan */
Real yPnt ; /* y-coord. of the point */
Real zCenter ; /* z-coordinates of center */
Real zDir ; /* z-direction of fan */
Real zPnt ; /* z-coord. of the point */
Real* aveVel ; /* average velocity */
Real* crd ; /* coordinates */
Real* usrVals ; /* user values */
Real* xCrd ; /* x-coordinates */
Real* yCrd ; /* y-coordinates */
Real* zCrd ; /* z-coordinates */
char* name ; /* set name */
udfCheckNumUsrVals( udfHd, 11 ) ; /* check for error */
usrVals = udfGetUsrVals( udfHd ) ; /* get the user vals */
xCenter = usrVals[0] ; /* get x-center */
yCenter = usrVals[1] ; /* get y-center */
zCenter = usrVals[2] ; /* get z-center */
xDir = usrVals[3] ; /* get x-direction */
yDir = usrVals[4] ; /* get y-direction */
zDir = usrVals[5] ; /* get z-direction */
coef0 = usrVals[6] ; /* get const coef. */
coef1 = usrVals[7] ; /* get lin. coef. */
coef2 = usrVals[8] ; /* get quad. coef. */
radius = usrVals[9] ; /* get fan radius */
rpm = usrVals[10] ; /* get fan RPM */
name = udfGetName( udfHd ) ; /* get the fan name */
aveVel = udfGetFanData( udfHd, name, UDF_FAN_AVERAGE_VELOCITY ) ; /* get ave. velocity */
crd = udfGetElmCrd( udfHd ) ; /* get the coord. */
xCrd = &crd[0*nItems] ; /* localize x-coord. */
yCrd = &crd[1*nItems] ; /* localize y-coord. */
zCrd = &crd[2*nItems] ; /* localize z-coord. */
tipVel = radius /* tip velocity */
* rpm * 2 * 3.1415926535897931 / 60 ;
tmp = *aveVel / tipVel ; /* velocity ratio */
velCoef = coef0 + coef1 * tmp + coef2 * tmp * tmp ; /* quadratic func. */
for ( elem = 0 ; elem < nItems ; elem++ ) {
xPnt = xCrd[elem] - xCenter ;
yPnt = yCrd[elem] - yCenter ;
zPnt = zCrd[elem] - zCenter ;
tmp = xDir * xPnt + yDir * yPnt + zDir * zPnt ;
radRat = xPnt * xPnt + yPnt * yPnt + zPnt * zPnt
- tmp * tmp ;
if ( radRat < 0 ) radRat = 0 ;
radRat = sqrt( radRat ) / radius ;
outVec[elem] = velCoef * ( 1. - radRat ) ;
}
} /* end of usrFanExample() */The dimension of the returned coefficient vector, outVec, is the number of elements.
FAN_COMPONENT( "fan" ) {
...
type = axial
center = { 0, 0, 0 }
direction = { 1, 0, 0 }
angular_speed = 3600 * (2*PI) / 60 # 3600 RPM
tip_radius = 0.11
thickness = 0.06
axial_coefficient_type = constant
axial_coefficient = 1.
axial_multiplier_function = "time varying"
tangential_coefficient_type = constant
tangential_coefficient = 0
radial_coefficient_type = constant
radial_coefficient = 0
}
MULTIPLIER_FUNCTION( "time varying" ) {
type = piecewise_linear
curve_fit_values = { 0, 0.0 ;10, 1.0 ;20, 0.5 ;40, 0.7 ;80, 1.2 ; }
curve_fit_variable = time
}FAN_COMPONENT( "Fan_Inlet" ) {
surface_sets = { "Fan_Inlet_Fan_Upstream_Duct" }
type = axial
center = { 0, 0, 0 }
direction = { 1, 0, 0 }
thickness = 0.06
pq_curve_type = piecewise_linear
pq_curve_fit_values = {525.35, 494.910;
890.21, 474.63;
1161.63, 424.9;
1272.76, 389.11;
1356.57, 350.42;
1431.84, 308.18;
1494.69, 268.35;
1551.39, 230.89;
}
swirl_factor = 0.0
}The axis of the axial fan passes through the origin of the global coordinate system. The fan blows in the positive x-direction. The distance from the front to the rear of the fan, fan thickness, is 0.06 m. The fan performance curve is defined as the two-dimensional curve fit, while the swirl factor is set to zero. The first column of the table defines the flow rate (m3/s), while the second column of the table is the pressure increase (Pa). The swirl factor is a ratio of the tangential body force to the primary body force (axial or radial).
Some scalar data are written to disk for each fan component and at every time step. This data can be translated to other formats using the AcuTrans program and other post-processing modules; see the AcuSolve Programs Reference Manual for details.