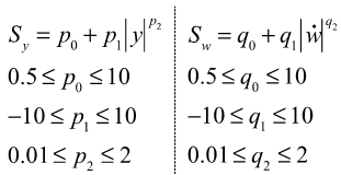
Scale Factors P0, P1, P2, and Q0, Q1, Q2
These factors are used to represent friction in the bushing material and also other effects such as viscoelasticity.
The overall scale factor is defined on the left for stiffness and on the right for damping as follows:

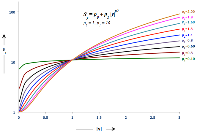
The following plot shows the behavior of the scaling function for various values of and . Note that the y-axis is plotted on a log scale to make the effects more obvious.

The next figure shows the same data as the figure above, except is the x-axis and the curve parameter:
